М
Молодежь
К
Компьютеры-и-электроника
Д
Дом-и-сад
С
Стиль-и-уход-за-собой
П
Праздники-и-традиции
Т
Транспорт
П
Путешествия
С
Семейная-жизнь
Ф
Философия-и-религия
Б
Без категории
М
Мир-работы
Х
Хобби-и-рукоделие
И
Искусство-и-развлечения
В
Взаимоотношения
З
Здоровье
К
Кулинария-и-гостеприимство
Ф
Финансы-и-бизнес
П
Питомцы-и-животные
О
Образование
О
Образование-и-коммуникации
nikipana
nikipana
01.04.2020 13:30 •  Алгебра

Решите системы уравнений х в квадрате - 2y = 54 у - х = -3 х в квадрате + у в квадрате = 25 у - 2х = 0

👇
Ответ:
Rorschach001
Rorschach001
01.04.2020
\left \{ {{x^{2} -2y=54} \atop {y-x=-3}} \right.
Из второго у = х-3
Подставляем в первое
x^{2} - 2(x - 3) = 54
x^{2} - 2x - 48 = 0
Решаем квадратное уравнение
х1 = -6     х2 = 8
у1 = - 9    у2 = 5

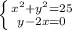
2) \left \{ {{x^{2} + y^{2} = 25} \atop {y-2x=0}} \right.
Из второго
у = 2х
Подставляем в первое
x^{2} + 4 x^{2} = 25
5 x^{2} = 25
x^{2} = 5
x_{1} = \sqrt{5} ; x_{2} = - \sqrt{5}
y_{1}=2 \sqrt{5} ; y_{2}=-2 \sqrt{5}
4,8(85 оценок)
Открыть все ответы
Ответ:
Cookiefluffy1500
Cookiefluffy1500
01.04.2020
I.  Выражения, в которых наряду с буквами могут быть использованы числа, знаки арифметических действий и скобки, называются алгебраическими выражениями.Примеры алгебраических выражений:2m -n;     3·(2a + b);     0,24x;     0,3a -b · (4a + 2b);     a2– 2ab;Так как букву в алгебраическом выражении можно заменить какими то различными числами, то букву называют переменной, а само алгебраическое выражение — выражением с переменной.  


В примере 3) знаменатель х + 2 = 0 при х = -2. ответ: выражение 3) не имеет смысла при х = -2.
4,8(70 оценок)
Ответ:
o0505
o0505
01.04.2020
Возведем все выражения в квадрат
8                        1^2=1             12^2=144
15                       2^2=4            13^2=169
27                       3^2=9            14^2=196 
150                     4^2=16           15^2=225
200                     5^2=25           21^2=441
480                     6^2=36           22^2=484

Из таблицы квадратов видно, что
2<√8<3
3<√15<4
5<√27<6
12<√150<13
14<√200<15
21<√480<22                          
                          
4,6(60 оценок)
Это интересно:
Новые ответы от MOGZ: Алгебра
logo
Вход Регистрация
Что ты хочешь узнать?
Спроси Mozg
Открыть лучший ответ