М
Молодежь
К
Компьютеры-и-электроника
Д
Дом-и-сад
С
Стиль-и-уход-за-собой
П
Праздники-и-традиции
Т
Транспорт
П
Путешествия
С
Семейная-жизнь
Ф
Философия-и-религия
Б
Без категории
М
Мир-работы
Х
Хобби-и-рукоделие
И
Искусство-и-развлечения
В
Взаимоотношения
З
Здоровье
К
Кулинария-и-гостеприимство
Ф
Финансы-и-бизнес
П
Питомцы-и-животные
О
Образование
О
Образование-и-коммуникации
Wishnewski
Wishnewski
22.03.2022 12:46 •  Алгебра

Решите неравенство, с объяснение , : а) х ^2 - 2x - 3 > 0 б) x ^2 + 4x + 5 < 0 в) x ^2 - 6x + 9 > 0

👇
Ответ:
Milenadaw
Milenadaw
22.03.2022
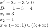
x ^2 - 2x - 3 0&#10;\\\&#10;D_1=1+3=4&#10;\\\&#10;x_1=3&#10;\\\&#10;x_2=1&#10;\\\&#10;x\in(-\infty; 1)\cup(3; +\infty)&#10;
ответ: x<1 и x>3

x ^2 + 4x + 5 < 0 &#10;\\\&#10;D_1=4-5<0&#10;&#10;&#10;
ответ: нет решений, так как вся парабола расположена над осью х

x ^2 - 6x + 9 0 &#10;\\\&#10;(x-3)^20&#10;\\\&#10;x-3 \neq 0&#10;\\\&#10;x \neq 3
ответ: все числа, кроме  числа 3
4,4(47 оценок)
Ответ:
milenaermolaev
milenaermolaev
22.03.2022
Решение смотри в приложении

Решите неравенство, с объяснение , : а) х ^2 - 2x - 3 > 0 б) x ^2 + 4x + 5 < 0 в) x ^2 - 6x +
4,6(45 оценок)
Открыть все ответы
Ответ:
Менеджмент как направление подразумевает организацию рабочего процесса на всех его этапах или отдельных отрезках. Чем выше профессионализм работника и длиннее перечень навыков, тем шире могут быть его полномочия, больше зарплата и вероятность карьерного роста.

Функции и должностные обязанности управленцев

Чтобы понять, что это за профессия – представитель сферы менеджмента, рекомендуется изучить перечень требований, которые предъявляются к управленцу. Не так важно, про стратегический, административный или производственный менеджмент идет речь, работник обязан распределять функции между сотрудниками, предоставлять им алгоритмы выполнения задач и контролировать все процессы на предприятии.
4,7(84 оценок)
Ответ:
аленка1опр
аленка1опр
22.03.2022

у=2(х-2)*-1

у=(2х-4)*-1

у=-2х+4

f(x)=-2x+4 - линейная функция, график - прямая

Область определения D(f) x∈R (множество всех действительных чисел)

Множество значений E(f) y∈R я

Нет максимума и минимума, непериодическая (непрерывна), ни четная, ни нечетная.

k=-2 => k<0 - функция убывающая, график образует тупой угол с положительным направлением оси 0Х.

График строится по 2-м точкам.

Можно найти точки пересечения графика с осями координат и построить график по ним.

Пересечение с осью 0Х: х=0 => y=-2*0+4=4     (0;4)

Пересечение с осью 0У: y=0 => х=-4/-2=2         (2;0)


У=2(х-2)*-1 построить схематический график и опишите свойства функции
4,4(21 оценок)
Новые ответы от MOGZ: Алгебра
logo
Вход Регистрация
Что ты хочешь узнать?
Спроси Mozg
Открыть лучший ответ