М
Молодежь
К
Компьютеры-и-электроника
Д
Дом-и-сад
С
Стиль-и-уход-за-собой
П
Праздники-и-традиции
Т
Транспорт
П
Путешествия
С
Семейная-жизнь
Ф
Философия-и-религия
Б
Без категории
М
Мир-работы
Х
Хобби-и-рукоделие
И
Искусство-и-развлечения
В
Взаимоотношения
З
Здоровье
К
Кулинария-и-гостеприимство
Ф
Финансы-и-бизнес
П
Питомцы-и-животные
О
Образование
О
Образование-и-коммуникации
SnegRainbow
SnegRainbow
13.07.2022 07:22 •  Алгебра

Теплоход проходит по течению реки до пункта назначения 126 км и возвращается обратно. Найдите скорость теплохода в стоячей воде, если скорость течения реки 2 км/ч. На весь путь теплоход потратил 16 часов ! От ​

👇
Ответ:
ник5028
ник5028
13.07.2022

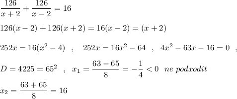
Собственная скорость теплохода равна х км/ч .

Скорость теплохода по течению равна (х+2) км/ч .

Скорость теплохода против течения равна (х-2) км/ч .

Время, которое теплоход плыл по течению, равно   126/(х+2) км/ч .

Время, которое теплоход плыл против течения, равно   126/(х-2) км/ч .

Всего затрачено 16 часов . Составим уравнение.

\dfrac{126}{x+2}+\dfrac{126}{x-2}=16\\\\126(x-2)+126(x+2)=16(x-2)=(x+2)\\\\252x=16(x^2-4)\ \ ,\ \ \ 252x=16x^2-64\ \ ,\ \ 4x^2-63x-16=0\ \ ,\\\\D=4225=65^2\ \ ,\ \ x_1=\dfrac{63-65}{8}=-\dfrac{1}{4}

ответ: собственная скорость теплохода равна  16 км/ч .

4,6(46 оценок)
Открыть все ответы
Ответ:
amelkumjan
amelkumjan
13.07.2022
Пусть второй рабочий в час делает х деталей, тогда первый рабочий в час делает х+3 детали
Первый рабочий затрачивает на производство 112 деталей: 112/(х+3) часов,
тогда второй рабочий на производство 150 деталей затрачивает 150/х часов
Составим уравнение:
150/х-112/(х+3)=2
150/х-112/(х+3)-2=0
Общий знаменатель х(х+3), тогда
(150(х+3)-112х-2*х(х+3))/x(x+3)=0    ОДЗ х не равно 0 ; -3

Раскроим скобки и решим уравнение:
150х+450 -112х-2х²-6х=0 
32х-2х²+450=0 (умножим на -1)
2х²-32х-450=0 (сократим на 2)
х²-16х-225=0
Найдем дискриминант:
D=b²-4ac=(-16)²-4*1*(-225)=256+900=1156
х1=(-b+√D)/2*a=(-(-16)+√1156)/2*1=(16+34)/2=25
х2=(-b-√D)/2*a=(-(-16)-√1156)/2*1=(16-34)/2= - 9 < 0 - не подходит
ответ: Второй рабочий в час изготовляет 25 деталей.
4,6(33 оценок)
Ответ:
aze1234
aze1234
13.07.2022

х ∈ (-0,5; +∞)

Объяснение:

|2x+5|-1<6x-2

1) 2x+5 ≥ 0 (2x ≥ 5 или х  ≥ 2,5 ) ⇒ |2x+5| = 2x+5

|2x+5|-1<6x-2 ⇒ 2x+5 -1<6x-2

2х + 4 < 6x - 2

4 + 2 < 6x - 2x

6 < 4x

6/4 < x

1,5 < x или х > 1,5 (ОДЗ: х≥ 2,5) ⇒ решение данной части: х ∈ [2,5; +∞)

2) 2x+5 < 0 (2x < 5 или х  < 2,5 ) ⇒ |2x+5| = -(2x+5)

|2x+5|-1<6x-2 ⇒ -(2x+5) -1<6x-2

-2x-5 -1<6x-2

-2х -6 < 6x - 2

-6 + 2 < 6x + 2x

-4 < 8x

-4/8 < x

-0,5 < x или х > -0,5 (ОДЗ: х < 2,5) ⇒ решение данной части: x ∈ (-0,5;2,5)

объединяя решение первой части (х ∈ [2,5; +∞)) и второй (x ∈ (-0,5;2,5)) получаем общее решение х ∈ (-0,5; +∞)

4,8(83 оценок)
Это интересно:
Новые ответы от MOGZ: Алгебра
logo
Вход Регистрация
Что ты хочешь узнать?
Спроси Mozg
Открыть лучший ответ