
Объяснение:
1) 
2)
3)
Объяснение:
Вообще в этом примере скобки мы можем опустить.
Получим:
2,56 * 10^-4 * 4,5 * 10^7
Для удобства десятичные дроби сгруппируем в одной части, а десятки в другой. Имеем:
2,56 * 4,5 * 10^-4 * 10^7
2,56 * 4,5 = 11,52
10^-4 * 10^7 = 10^7+(-4) = 10^3
(При умножении показатели степеней складываются. Если не знаешь свойства степеней - бегом открывай учебник по алгебре за 7 класс и учи. Это пригодится в дальнейшем!)
Получили 11,52 * 10^3 - это не стандартный вид числа. Число, стоящее перед 10 в кубе должно быть меньше 10. Следовательно, у 11,52 мы отбрасываем влево запятую, и степень числа 10 увеличивается на 1.
И мы получаем окончательный ответ:
1,152 * 10^4 - это уже стандартный вид числа.
Задача решена.
Объяснение:
Вообще в этом примере скобки мы можем опустить.
Получим:
2,56 * 10^-4 * 4,5 * 10^7
Для удобства десятичные дроби сгруппируем в одной части, а десятки в другой. Имеем:
2,56 * 4,5 * 10^-4 * 10^7
2,56 * 4,5 = 11,52
10^-4 * 10^7 = 10^7+(-4) = 10^3
(При умножении показатели степеней складываются. Если не знаешь свойства степеней - бегом открывай учебник по алгебре за 7 класс и учи. Это пригодится в дальнейшем!)
Получили 11,52 * 10^3 - это не стандартный вид числа. Число, стоящее перед 10 в кубе должно быть меньше 10. Следовательно, у 11,52 мы отбрасываем влево запятую, и степень числа 10 увеличивается на 1.
И мы получаем окончательный ответ:
1,152 * 10^4 - это уже стандартный вид числа.
Задача решена.
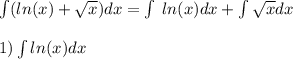
1.
2.
берем по частям:
Получаем:
3.