М
Молодежь
К
Компьютеры-и-электроника
Д
Дом-и-сад
С
Стиль-и-уход-за-собой
П
Праздники-и-традиции
Т
Транспорт
П
Путешествия
С
Семейная-жизнь
Ф
Философия-и-религия
Б
Без категории
М
Мир-работы
Х
Хобби-и-рукоделие
И
Искусство-и-развлечения
В
Взаимоотношения
З
Здоровье
К
Кулинария-и-гостеприимство
Ф
Финансы-и-бизнес
П
Питомцы-и-животные
О
Образование
О
Образование-и-коммуникации
kristinakarpova2
kristinakarpova2
28.02.2022 12:29 •  Алгебра

Решить систему линейных уравнений методом Крамера:


Решить систему линейных уравнений методом Крамера:

👇
Ответ:
Pygacev1959
Pygacev1959
28.02.2022

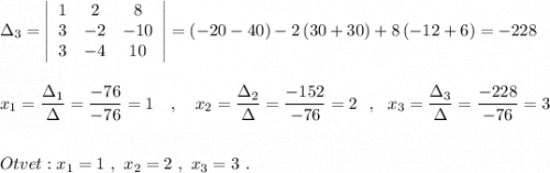
\Delta =\left|\begin{array}{ccc}1&2&1\\3&-2&-3\\3&-4&5\end{array}\right|=(-10-12)-2\, (15+9)+(-12+6)=-76\ne 0\\\\\\\Delta _1=\left|\begin{array}{ccc}8&2&1\\-10&-2&-3\\10&-4&5\end{array}\right|=8(-10-12)-2\, (-50+30)+(40+20)=-76\\\\\\\Delta _2=\left|\begin{array}{ccc}1&8&1\\3&-10&-3\\3&10&5\end{array}\right|=(-50+30)-8\, (15+9)+(30+30)=-152

\Delta _3=\left|\begin{array}{ccc}1&2&8\\3&-2&-10\\3&-4&10\end{array}\right|=(-20-40)-2\, (30+30)+8\, (-12+6)=-228\\\\\\x_1=\dfrac{\Delta_1}{\Delta}=\dfrac{-76}{-76}=1\ \ \ ,\ \ \ x_2=\dfrac{\Delta_2}{\Delta}=\dfrac{-152}{-76}=2\ \ ,\ \ x_3=\dfrac{\Delta_3}{\Delta}=\dfrac{-228}{-76}=3\\\\\\Otvet:x_1=1\ ,\ x_2=2\ ,\ x_3=3\ .

P.S.  Все определители вычисляла при раскрытия по 1 строке .

4,6(34 оценок)
Открыть все ответы
Ответ:
alesa6002
alesa6002
28.02.2022
1) по теореме косинусов имеем: a² = b² + c² - 2bc cos a = 25 - 24 cos 135° = 25 + 12√2 a = √(25 + 12√2) по теореме синусов, a / sin a = b / sin b sin b = sin a · b / a = √2 / 2 · 3 / √(25 + 12√2) = 3 / √(50 + 24√2) ∠b = arcsin(3 / √(50 + 24√2)) ∠c = 180° - 135° - ∠b = 45° - arcsin(3 / √(50 + 24√2)) 2) ∠a = 180° - ∠b - ∠c = 65° по теореме синусов b / sin b = a / sin a b = a sin b / sin a = 24.6 · √2 / 2 / (sin 65°) = 123√2 / (10 sin 65°) по теореме синусов c / sin c = a / sin a c = a sin c / sin a = 24.6 ·sin 70° / sin 65°
4,5(49 оценок)
Ответ:
Lexa68RUS
Lexa68RUS
28.02.2022
Первое уравнение пропотенцируем и система упростится:
ху=2 | *2                2xy = 4
х^2 + y^2 =5        x^2 +y^2 = 5 Сложим эти два уравнения. Получим: x^2 +2xy + y^2= 9  или  (x + y)^2=9
а) x + y = 3                            или      х+у = -3
х = 3-у                                                x = - y - 3
ху = 2                                                  xy = 2
у(3-у) = 2                                              y(-y-3)=2
3у -у^2 = 2                                           -y^2-3y = 2
y^2 -3y +2 = 0                                       y^2 +3y +2=0
y1= 2,  y2 = 1                                        y1 = -2, y2 = -1
x1= 3-y=1                                               x1 = -y -3= 2 -3 = -1
x2=3-y=2                                               x2 = -y -3 = 1 - 3 = -2
 ответ:(1;2),(2;1),(-1;-2),(-2;-1)  
4,6(27 оценок)
Это интересно:
Новые ответы от MOGZ: Алгебра
logo
Вход Регистрация
Что ты хочешь узнать?
Спроси Mozg
Открыть лучший ответ