М
Молодежь
К
Компьютеры-и-электроника
Д
Дом-и-сад
С
Стиль-и-уход-за-собой
П
Праздники-и-традиции
Т
Транспорт
П
Путешествия
С
Семейная-жизнь
Ф
Философия-и-религия
Б
Без категории
М
Мир-работы
Х
Хобби-и-рукоделие
И
Искусство-и-развлечения
В
Взаимоотношения
З
Здоровье
К
Кулинария-и-гостеприимство
Ф
Финансы-и-бизнес
П
Питомцы-и-животные
О
Образование
О
Образование-и-коммуникации
великан007
великан007
26.02.2021 03:40 •  Алгебра

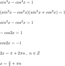
Sin в 4 степени x - cos в 4 степени x = 1

👇
Ответ:
анна1796
анна1796
26.02.2021
 sin^4x-cos^4x=1\\\\(sin^2x-cos^2x)(sin^2x+cos^2x)=1\\\\sin^2x-cos^2x=1\\\\-cos2x=1\\\\cos2x=-1\\\\2x=\pi +2\pi n\; ,\; n\in Z\\\\x=\frac{\pi}{2}+\pi n

4,6(2 оценок)
Открыть все ответы
Ответ:
sosochek47
sosochek47
26.02.2021
Решал уже.
1) 12AD = 3620908 - 1300 = 3619608
AD = 3619608/12 = 301634
A = 301634/D

2) 13A + 142 = 12B

3) 6BD/3 = 4222910 - 34
2BD = 4222876
B = 4222876/(2D) = 2111438/D

Подставляем 1  и 3 уравнения во 2 уравнение
13*301634/D + 142 = 12*2111438/D
Умножаем всё на D
39212432 + 142D = 25337256
D = (25337256 - 39212432)/142 = 21416014/142 = 150817
Там требовалось найти D, но если надо остальное, то вот:
A = 301634/D = A = 301634/150817 = 2
B = (142 + 13A)/12 = (142 + 26)/12 = 168/12 = 14

ответ: A = 2; B = 14; D = 150817
4,6(89 оценок)
Ответ:
Павел9641
Павел9641
26.02.2021
Решал уже.
1) 12AD = 3620908 - 1300 = 3619608
AD = 3619608/12 = 301634
A = 301634/D

2) 13A + 142 = 12B

3) 6BD/3 = 4222910 - 34
2BD = 4222876
B = 4222876/(2D) = 2111438/D

Подставляем 1  и 3 уравнения во 2 уравнение
13*301634/D + 142 = 12*2111438/D
Умножаем всё на D
39212432 + 142D = 25337256
D = (25337256 - 39212432)/142 = 21416014/142 = 150817
Там требовалось найти D, но если надо остальное, то вот:
A = 301634/D = A = 301634/150817 = 2
B = (142 + 13A)/12 = (142 + 26)/12 = 168/12 = 14

ответ: A = 2; B = 14; D = 150817
4,5(51 оценок)
Это интересно:
Новые ответы от MOGZ: Алгебра
logo
Вход Регистрация
Что ты хочешь узнать?
Спроси Mozg
Открыть лучший ответ