М
Молодежь
К
Компьютеры-и-электроника
Д
Дом-и-сад
С
Стиль-и-уход-за-собой
П
Праздники-и-традиции
Т
Транспорт
П
Путешествия
С
Семейная-жизнь
Ф
Философия-и-религия
Б
Без категории
М
Мир-работы
Х
Хобби-и-рукоделие
И
Искусство-и-развлечения
В
Взаимоотношения
З
Здоровье
К
Кулинария-и-гостеприимство
Ф
Финансы-и-бизнес
П
Питомцы-и-животные
О
Образование
О
Образование-и-коммуникации
ЛеркаXD
ЛеркаXD
05.09.2021 15:29 •  Алгебра

Решите уравнения 2*2^(2x)-17*2^x+8=0; 5*2^(2x)-7*10^x+2*5^(2x)=0 тема показательные уравнения

👇
Ответ:
Гауа0987
Гауа0987
05.09.2021

2\cdot 2^{2x}-17\cdot 2^x+8=0~~~~~\Big|~~2^x=y0\\\\2y^2-17y+8=0\\D=17^2-4\cdot 2\cdot 8=289-64=225=15^2\\\\y_1=\dfrac{17+15}{2\cdot 2}=8=2^3~~~\Rightarrow~~2^x=2^3;~~\boldsymbol{x_1=3}\\\\y_2=\dfrac{17-15}{2\cdot 2}=\dfrac 12=2^{-1}~~~\Rightarrow~~2^x=2^{-1};~~\boldsymbol{x_2=-1}\\\\\boxed{\boldsymbol{x_1=3;~~~x_2=-1}}

============================================

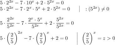
5\cdot 2^{2x}-7\cdot 10^x+2\cdot 5^{2x}=0\\5\cdot 2^{2x}-7\cdot 2^x\cdot 5^x+2\cdot 5^{2x}=0~~~~~\big|~~:(5^{2x})\neq 0\\\\5\cdot \dfrac{2^{2x}}{5^{2x}}-7\cdot \dfrac{2^x\cdot 5^x}{5^{2x}}+2\cdot \dfrac{5^{2x}}{5^{2x}}=0\\\\5\cdot \bigg(\dfrac 25\bigg)^{2x}-7\cdot \bigg(\dfrac 25\bigg)^x+2=0~~~~~\bigg|~~\bigg(\dfrac 25\bigg)^x=z0

5z^2-7z+2=0\\D=7^2-4\cdot 5\cdot 2=49-40=9=3^2\\\\z_1=\dfrac{7+3}{2\cdot 5}=1=\bigg(\dfrac 25\bigg)^0~~~\Rightarrow~~~\bigg(\dfrac 25\bigg)^x=\bigg(\dfrac 25\bigg)^0;~~\boldsymbol{x_1=0}\\\\z_2=\dfrac{7-3}{2\cdot 5}=\dfrac 25~~~\Rightarrow~~~\bigg(\dfrac 25\bigg)^x=\bigg(\dfrac 25\bigg)^1;~~\boldsymbol{x_2=1}\\\\\boxed{\boldsymbol{x_1=0;~~~x_2=1}}

4,4(2 оценок)
Открыть все ответы
Ответ:
kisuli1
kisuli1
05.09.2021

Відповідь:

1. Начинать закаливающие процедуры необходимо только когда человек полностью здоров.

2. Обязательно соблюдать принцип постепенности. В начале применения закаливающих процедур у организма возникает определенная ответная реакция со стороны дыхательной, сердечно- сосудистой и центральной нервной систем. По мере неоднократного повторения этой процедуры реакция на нее организма постепенно ослабевает, а дальнейшее ее использование уже не оказывает закаливающего эффекта. Тогда надо изменить силу и длительность воздействия закаливающих процедур на организм.

3. Очень важно проводить закаливающие процедуры регулярно и без больших перерывов. Следует помнить, что проведение закаливающих процедур в течение 2-3 месяцев, а затем их прекращение приводит к тому, что закаленность организма исчезает через 3-4 недели, а у детей через 5-7 дней. В случае появления признаков заболевания закаливание временно прекращают, после выздоровления следует возобновить его с начального периода.

Пояснення:

1. Начинать закаливающие процедуры необходимо только когда человек полностью здоров.

2. Обязательно соблюдать принцип постепенности. В начале применения закаливающих процедур у организма возникает определенная ответная реакция со стороны дыхательной, сердечно- сосудистой и центральной нервной систем. По мере неоднократного повторения этой процедуры реакция на нее организма постепенно ослабевает, а дальнейшее ее использование уже не оказывает закаливающего эффекта. Тогда надо изменить силу и длительность воздействия закаливающих процедур на организм.

3. Очень важно проводить закаливающие процедуры регулярно и без больших перерывов. Следует помнить, что проведение закаливающих процедур в течение 2-3 месяцев, а затем их прекращение приводит к тому, что закаленность организма исчезает через 3-4 недели, а у детей через 5-7 дней. В случае появления признаков заболевания закаливание временно прекращают, после выздоровления следует возобновить его с начального периода.

4,8(76 оценок)
Ответ:
Настя9474
Настя9474
05.09.2021

1.Марина Цветаева (8 октября 1892г.) родилась и воспитывалась в семье научно-художественной интеллигенции

2.Отец Марины Цветаевой  был профессором университета и создателем одного из московских музеев, а мать любила детей и всё свою жизнь посвятила их воспитанию я не помню

4.  Она не смогла понять и принять Октябрьскую революцию и в 1922 году уехала за границу. В эмиграции была трудная жизнь материальных лишений, душевного прозрения.

5. Училась в частной московской гимназии, а затем в пансионах Европы. Писать поэтесса начала довольно рано в возрасте шести лет. У нее получалось писать стихи не только на русском языке, но и на французском и немецком.

6.  Цветаева напечатала в Товариществе типографии а. И. Мамонтова за свой счет первый сборник стихов — «Вечерний альбом»

Объяснение:

4,6(69 оценок)
Это интересно:
Новые ответы от MOGZ: Алгебра
logo
Вход Регистрация
Что ты хочешь узнать?
Спроси Mozg
Открыть лучший ответ