М
Молодежь
К
Компьютеры-и-электроника
Д
Дом-и-сад
С
Стиль-и-уход-за-собой
П
Праздники-и-традиции
Т
Транспорт
П
Путешествия
С
Семейная-жизнь
Ф
Философия-и-религия
Б
Без категории
М
Мир-работы
Х
Хобби-и-рукоделие
И
Искусство-и-развлечения
В
Взаимоотношения
З
Здоровье
К
Кулинария-и-гостеприимство
Ф
Финансы-и-бизнес
П
Питомцы-и-животные
О
Образование
О
Образование-и-коммуникации
wassilina
wassilina
11.09.2022 07:23 •  Алгебра

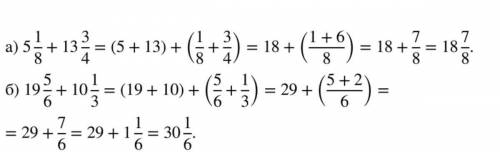
73. Выполните действие и объясните, какие свойства сложения были при этом использованы: А) 5 1/8+13 3/4 Б) 19 5/6+10 1/3

👇
Ответ:
гном171
гном171
11.09.2022

наверно так) точно не знаю


73. Выполните действие и объясните, какие свойства сложения были при этом использованы: А) 5 1/8+13
4,5(22 оценок)
Открыть все ответы
Ответ:
lidaat
lidaat
11.09.2022

1. Принимаем за х величину одного из чисел, за у значение другого числа.

2. Составим два уравнения:

(1) х + у = 18; х = 18 - у;

(2) ху = 65;

3. Подставляем значение х = 18 - у из первого уравнения во второе уравнение:

(18 - у)у = 65;

18у - у² = 65;

у² - 18у + 65 = 0;

Первое значение у = (18 + √324 + 4 х 65)/2 = (18 + √64)/2 = (18 + 8)/2 = 13.

Второе значение у = (18 - 8)/2 = 5.

Первое значение х = 18 - 13 = 5.

Второе значение х = 18 - 5 = 13.

ответ: значение одного из чисел 5, другого 13.

Объяснение:

4,4(68 оценок)
Ответ:
Agnessasidorevich
Agnessasidorevich
11.09.2022

1)

a) 6x^2-3x=0

3x(2x-1)=0

x=0; x=1/2

б)25x^2=1

x^2=1/25

x=±√1/25

x=1/5;x=-1/5

в)4x^2+7x-2=0

D=49+32=81

x=(-7±√81)/8

x=-2; x=1/4

г)4x^2+20x+25=0

D=400-400=0

X=-20/8

x= -5/2

д)3x^2+2x+1=0

D=4-12=-8<0

x∈∅

е)(x^2+5x)/2-3=0

(x^2+5x)/2=3

x^2+5x=6

x^2+5x-6=0

x=1; x=-6

2) x^4-29x^2+100=0

Замена:t=x^2, t>=0

t^2-29t+100=0

D=841-400=441=21^2

t=25; t =4

⇒x=±√25; x=±√4;

x=-5;x=5;x=-2;x=2

3)(3x^2+7x-6)/(4-9x^2)

Решим отдельно уравнение в числителе

3x^2+7x-6=0

D=49+72=121=11^2

x=-3;

x=2/3

⇒3x^2+7x-6=(x+3)(3x-2)

(x+3)(3x-2)/(2-3x)(2+3x) = -(x+3)/(2+3x)

4) x^2-26x+q=0

По теореме Виета

x1+x2=26

12+x2=26

x2=14

x1*x2=q

14*12=q

q=168

4,7(32 оценок)
Это интересно:
Новые ответы от MOGZ: Алгебра
logo
Вход Регистрация
Что ты хочешь узнать?
Спроси Mozg
Открыть лучший ответ