М
Молодежь
К
Компьютеры-и-электроника
Д
Дом-и-сад
С
Стиль-и-уход-за-собой
П
Праздники-и-традиции
Т
Транспорт
П
Путешествия
С
Семейная-жизнь
Ф
Философия-и-религия
Б
Без категории
М
Мир-работы
Х
Хобби-и-рукоделие
И
Искусство-и-развлечения
В
Взаимоотношения
З
Здоровье
К
Кулинария-и-гостеприимство
Ф
Финансы-и-бизнес
П
Питомцы-и-животные
О
Образование
О
Образование-и-коммуникации
andriyana13
andriyana13
03.11.2022 02:10 •  Алгебра

Сумма цифр двузначного числа равна 11. если это число разделить на разность его цифр, то в частном получится 24 и в остатке 2. найдите исходное число.

👇
Ответ:
ПитерДина
ПитерДина
03.11.2022
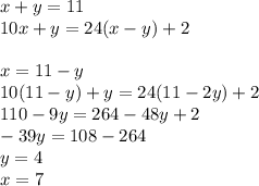
Пусть это число равна  10x+y
x+y=11\\
10x+y=24(x-y)+2\\
\\
x=11-y\\
10(11-y)+y=24(11-2y)+2\\
 110-9y=264-48y+2\\
 -39y=108-264\\
 y=4\\
 x=7

это число 74 
4,8(25 оценок)
Открыть все ответы
Ответ:
lovedeutschlan
lovedeutschlan
03.11.2022
1) Ставим 1 том первым. Вторым может быть любой, кроме 4.
Это 4 варианта. Остальные 4 тома ставим как угодно. Это 24 варианта.
Всего 24*4 = 96 вариантов.
2) Ставим 1 том вторым. Первый - любой, кроме 4. Это 4 варианта. Третьим - тоже любой оставшийся, кроме 4. Это 3 варианта.
Остальные 3 тома как угодно. Это 6 вариантов.
Всего 4*3*6 = 72 варианта.
3) Ставим 1 том третьим. Первый - какой угодно, это 5 вариантов.
Второй - любой, кроме 4. Это 3 варианта.
Четвертый - тоже любой, кроме 4. Это 2 варианта.
Пятый и шестой - какие угодно. Это 2 варианта.
Всего 5*3*2*2 = 60 вариантов.
4) Ставим 1 том четвертым. Это аналогично 3). 60 вариантов.
5) Ставим 1 том пятым. Это аналогично 2). 72 варианта.
6) Ставим 1 том последним. Это аналогично 1). 96 вариантов.
Итого 96 + 72 + 60 + 60 + 72 + 96 = 396 вариантов.
4,5(28 оценок)
Ответ:
alena645
alena645
03.11.2022

Объяснение:

Александр упаковал 400 больших коробок и израсходовал два рулона скотча  полностью, а от третьего осталось ровно две пятых,то есть:

2+(1-(2/5))=2+(3/5)=2³/₅ (рулона).

65 см=0,65 м       55 см=0,55 м.

Найдём количество метров в одном рулоне:

\frac{400*0,65}{2\frac{3}{5} } =\frac{260}{\frac{13}{5} } =\frac{260*5}{13}=20*5=100.\ \ \ \ \Rightarrow        

Количество метров в трёх рулонах скотча: 100*3=300.     ⇒

Если на каждую коробку нужно по 0, 55 м скотча, то на 560 одинаковых коробок ему нужно:

                                  560*0,55=308 (м)      ⇒

ответ: трёх целых таких рулонов скотча ему не хватит.

4,4(36 оценок)
Это интересно:
Новые ответы от MOGZ: Алгебра
logo
Вход Регистрация
Что ты хочешь узнать?
Спроси Mozg
Открыть лучший ответ