М
Молодежь
К
Компьютеры-и-электроника
Д
Дом-и-сад
С
Стиль-и-уход-за-собой
П
Праздники-и-традиции
Т
Транспорт
П
Путешествия
С
Семейная-жизнь
Ф
Философия-и-религия
Б
Без категории
М
Мир-работы
Х
Хобби-и-рукоделие
И
Искусство-и-развлечения
В
Взаимоотношения
З
Здоровье
К
Кулинария-и-гостеприимство
Ф
Финансы-и-бизнес
П
Питомцы-и-животные
О
Образование
О
Образование-и-коммуникации
kurilov218
kurilov218
13.05.2021 21:15 •  Алгебра

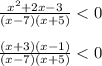
Решите неравенство х²+2х-3/(х-7)(х+5)< 0

👇
Ответ:
ruslanantosyuk1
ruslanantosyuk1
13.05.2021

\frac{x^2+2x-3}{(x-7)(x+5)}<0\\ \\\frac{(x+3)(x-1)}{(x-7)(x+5)}<0

++++++---------++++++----------

        -5        -3         1          7

x \in (-5;-3) \cup (1;7)

4,8(74 оценок)
Открыть все ответы
Ответ:
supervip2001
supervip2001
13.05.2021
Решала методом сложения. 
По правилам математики уравнения системы можно складывать. Наша задача в том, чтобы, сложив исходные уравнения, получить такое уравнение, в котором останется только одно неизвестное.
В первом задании, например, я домножила первое уравнение на -3, чтобы далее и в первом, и во втором уравнении системы было 6х и -6х. Это сделано для того, чтобы при сложении этих уравнений иксы полностью уничтожились, и можно было решить их относительно У. Ну а потом по старинке: найденный У подставляем в любое из уравнений системы и получаем уже Х.
40 ! решите систему уравнений. {-2x+2y=7 {-6x-9y=6 это первое уравнение {x-y=-8 {-9x+4y=-1 это второ
40 ! решите систему уравнений. {-2x+2y=7 {-6x-9y=6 это первое уравнение {x-y=-8 {-9x+4y=-1 это второ
4,6(63 оценок)
Ответ:
Решала методом сложения. 
По правилам математики уравнения системы можно складывать. Наша задача в том, чтобы, сложив исходные уравнения, получить такое уравнение, в котором останется только одно неизвестное.
В первом задании, например, я домножила первое уравнение на -3, чтобы далее и в первом, и во втором уравнении системы было 6х и -6х. Это сделано для того, чтобы при сложении этих уравнений иксы полностью уничтожились, и можно было решить их относительно У. Ну а потом по старинке: найденный У подставляем в любое из уравнений системы и получаем уже Х.
40 ! решите систему уравнений. {-2x+2y=7 {-6x-9y=6 это первое уравнение {x-y=-8 {-9x+4y=-1 это второ
40 ! решите систему уравнений. {-2x+2y=7 {-6x-9y=6 это первое уравнение {x-y=-8 {-9x+4y=-1 это второ
4,5(14 оценок)
Это интересно:
logo
Вход Регистрация
Что ты хочешь узнать?
Спроси Mozg
Открыть лучший ответ