М
Молодежь
К
Компьютеры-и-электроника
Д
Дом-и-сад
С
Стиль-и-уход-за-собой
П
Праздники-и-традиции
Т
Транспорт
П
Путешествия
С
Семейная-жизнь
Ф
Философия-и-религия
Б
Без категории
М
Мир-работы
Х
Хобби-и-рукоделие
И
Искусство-и-развлечения
В
Взаимоотношения
З
Здоровье
К
Кулинария-и-гостеприимство
Ф
Финансы-и-бизнес
П
Питомцы-и-животные
О
Образование
О
Образование-и-коммуникации
ерикос
ерикос
31.08.2022 02:19 •  Алгебра

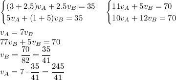
Из пунктов A и B, расстояние между которыми 35 км, навстречу друг другу вышли два пешехода. Если пешеход, вышедший из пункта А, выйдет на 3 ч раньше второго пешехода, то они встретятся через 2,5 ч после выхода пешехода из пункта B. Если же пешеход, вышедший из пункта B, выйдет на 1 ч раньше первого, то они встретятся через 5 ч после выхода пешехода из пункта А. Определите скорости обоих пешеходов.

👇
Ответ:

Объяснение:

\begin{cases}(3+2.5)v_A+2.5v_B=35\\5v_A+(1+5)v_B=35\end{cases}\begin{cases}11v_A+5v_B=70\\10v_A+12v_B=70\end{cases}\\\\v_A=7v_B\\77v_B+5v_B=70\\v_B=\dfrac{70}{82}=\dfrac{35}{41}\\v_A=7\cdot\dfrac{35}{41}=\dfrac{245}{41}

4,8(90 оценок)
Открыть все ответы
Ответ:
dvs2504
dvs2504
31.08.2022

Объяснение:

x-скорость товарного

х+10 - скорость пассажирского

300/x время товарного

300/(x+10) - время пассажирского

300         300

    -   =1

 х             х+10  

300(x+10-x)

 = 1

x(x+10)

3000

=1

x²+10x

x²+10x=3000

x²+10x-3000=0

Найдем дискриминант квадратного уравнения:

D = b² - 4ac = 10² - 4·1·(-3000) = 100 + 12000 = 12100

Так как дискриминант больше нуля то, квадратное уравнение имеет два действительных корня:

x₁ =   (-10 - √12100)/ 2·1  =  ( -10 - 110) /2  =   -120 /2  = -60 этот корень не подходит к условию задачи

x₂ =   (-10 + √12100 )/2·1  = (  -10 + 110)/ 2  =   100 / 2  = 50 км/ч скорость товарного поезда

х+10=50+10=60 км/ч скорость пассажирского

4,7(37 оценок)
Ответ:
knopendui
knopendui
31.08.2022

(-∞; 2,5) и (2,5; +∞)

Объяснение:

Промежуток знакопостоянства функции - это промежуток, в котором функция сохраняет свой знак. Для нахождения промежутки знакопостоянства линейной функции f(x)=2·x-5 сначала находим нули функции:

f(x)=0 ⇔ 2·x-5=0 ⇔ 2·x = 5 ⇔ x = 2,5.

Так как других нулей у функции нет, то линейная функция f(x)=2·x-5 меняет свой знак только один раз. Поэтому  промежутками знакопостоянства будут:

(-∞; 2,5) и (2,5; +∞).

При x∈(-∞; 2,5) функция отрицательна в силу:

f(0)=2·0-5= -5<0,

а при x∈(2,5; +∞) функция положительна в силу:

f(10)=2·10-5= 15>0.

4,7(36 оценок)
Новые ответы от MOGZ: Алгебра
logo
Вход Регистрация
Что ты хочешь узнать?
Спроси Mozg
Открыть лучший ответ