М
Молодежь
К
Компьютеры-и-электроника
Д
Дом-и-сад
С
Стиль-и-уход-за-собой
П
Праздники-и-традиции
Т
Транспорт
П
Путешествия
С
Семейная-жизнь
Ф
Философия-и-религия
Б
Без категории
М
Мир-работы
Х
Хобби-и-рукоделие
И
Искусство-и-развлечения
В
Взаимоотношения
З
Здоровье
К
Кулинария-и-гостеприимство
Ф
Финансы-и-бизнес
П
Питомцы-и-животные
О
Образование
О
Образование-и-коммуникации
bodrov2015
bodrov2015
18.03.2021 19:15 •  Алгебра

Тема: Неравенства решить примеры.
1. 1/3 из 0,3
2. -5/8 и -0,7
3. 4/9и 0,44

👇
Ответ:
Воряк
Воряк
18.03.2021

Объяснение:

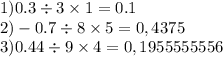
1) 0.3 \div 3 \times 1 = 0.1 \\ 2) - 0.7 \div 8 \times 5 = 0,4375 \\ 3)0.44 \div 9 \times 4 = 0,1955555556

4,8(8 оценок)
Открыть все ответы
Ответ:
vinitskay74
vinitskay74
18.03.2021

Обозначим недостающее число через x.

а) Среднее арифметическое данного ряда = 24:

(3+8+15+30+x+24)/6 = 24;  80 + x = 24*6;

80 + х = 144

х = 144 - 80

х = 64

Пропущено число 64.

б) Размах ряда - это разность между наибольшим и наименьшим значениями ряда.

Если в ряду содержатся только положительные числа, то пропущено наибольшее число,  оно равно :

x-3 = 52;

x= 55.

Если в ряду могут быть отрицательные числа, то пропущено наименьшее число, оно равно 12:

64-x=52;

x = 64-52 = 12.

в) Мода ряда - это число, которое встречается наиболее часто. Так как мода = 8, то пропущено число 8.

Объяснение:

4,6(70 оценок)
Ответ:
Kachelda
Kachelda
18.03.2021

Война - противное человеческому разуму событие. Сколько боли, тоски, горечи и одиночества несёт она в себе... Ничто в этом мире не проходит бесследно Даже через много лет война рисует в памяти людей страшные картины: голод, разруху, смерть, потери. Все эти ужасные воспоминания оставляют огромные шрамы на сердцах миллионов жителей нашей планеты.

В чём же заключается смысл войны? За что воюют люди и по сей день?

Эти во волнуют уже несколько поколений жителей Земли. Каждый видит войну по-своему: для кого-то это наживы, возможность оторвать «лакомый кусочек», а для кого-то - единственный защиты от врага и обеспечения мирного существования.

Для нас война - самое страшное, что может случиться в мире.

4,7(28 оценок)
Новые ответы от MOGZ: Алгебра
logo
Вход Регистрация
Что ты хочешь узнать?
Спроси Mozg
Открыть лучший ответ