М
Молодежь
К
Компьютеры-и-электроника
Д
Дом-и-сад
С
Стиль-и-уход-за-собой
П
Праздники-и-традиции
Т
Транспорт
П
Путешествия
С
Семейная-жизнь
Ф
Философия-и-религия
Б
Без категории
М
Мир-работы
Х
Хобби-и-рукоделие
И
Искусство-и-развлечения
В
Взаимоотношения
З
Здоровье
К
Кулинария-и-гостеприимство
Ф
Финансы-и-бизнес
П
Питомцы-и-животные
О
Образование
О
Образование-и-коммуникации
AlumaZuma
AlumaZuma
19.04.2021 01:16 •  Алгебра

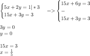
Решить методом сложения: 1) 5х+2у=1 15х+3у=3 2)-3х+4у=24 5х+3у=-40 3)3х-5у=25 4х-3у=37

👇
Ответ:
битика
битика
19.04.2021
\begin{cases}5x+2y=1|*3\\15x+3y=3\end{cases}=\begin{cases}15x+6y=3\\-\\15x+3y=3\end{cases}\\\\3y=0\\y=0\\\\15x=3\\x=\frac{1}{5}

\begin{cases}-3x+4y=24|*5\\5x+3y=-40|*3\end{cases}=\begin{cases}-15x+20y=120\\+\\15x+9y=-120\end{cases}\\\\29y=0\\y=0\\\\-3x=24\\x=-8

\begin{cases}3x-5y=25|*4\\4x-3y=37|*3\end{cases}=\begin{cases}12x-20y=100\\-\\12x-9y=111\end{cases}\\\\-11y=-11\\y=1\\\\3x-5=25\\3x=30\\x=10
4,7(44 оценок)
Открыть все ответы
Ответ:
барни51
барни51
19.04.2021
При каких значениях параметра "a" уравнение  x^2-(a+4)x+2a+6 =0  имеет один корень на луче [1;∞) .

Обозначаем : t  = x -1 ⇒ x = t+1 получаем:  (t+1)² -(a+4)(t+1) +2a+6 =0 ⇔
t² -(a+2)t +a+3 =0   ,   x ≥ 1 ⇒   t ≥ 0. 
Один корень должен быть  неотрицательным.
t =0  ⇒ a = - 3 .
Уравнение t² -(a+2)t +a+3 =0 [следовательно и x² - (a+4)x+2a+6 =0 ] имеет корней, если D=(a+2)² - 4(a+3)  ≥ 0⇔ a² -8 ≥ 0 ⇒ a ∈( -∞ ; - 2√2]  ∪ [2√2  ;∞) .

Один (однократный) корень, если   a =± 2√2
При   a = - 2√2   ⇒ t=(a+2)/2 = - √2+1 < 0   не удовлетворяет  ;                           При   a = 2√2 ⇒ t = (a+2)/2 = √2+1 >  0_ удовлетворяет .

Корни разных знаков :
{ D > 0 ; a+3 < 0. ⇔ { a ∈( -∞ ; - 2√2)  ∪ (2√2  ;∞)  ; a < - 3. ⇒ a ∈( -∞ ; - 3).

 (-2√2)  2√2
(-3)

Окончательно : a∈ { -3} ∪ {2√2}  ∪ (-∞; -3) =  (-∞; -3]  ∪ {2√2} .

ответ :  a∈  (-∞; -3]  ∪ {2√2} 
4,5(3 оценок)
Ответ:
Eliseyy
Eliseyy
19.04.2021
Для решения нужно знать некоторые теоремы:
1) любая высота в равностороннем треугольнике является биссектрисой и медианой этого треугольника, а также серединным перпендикуляром  к соответствующей стороне этого треугольника.
2) теорема Пифагора.
3) медианы любого треугольника точкой пересечения делятся в отношении 2:1 считая от вершины.
Пусть сторона данного треугольника a=(V3).
Проведем какую-либо высоту в данном треугольнике, эта высота является медианой, поэтому делит сторону, к которой проведена пополам. Рассмотрим один из двух прямоугольных треугольников, на которые делится исходных равносторонний треугольник проведенной высотой. Гипотенуза прямоугольного треугольника = a, один из катетов = (a/2). Найдем второй катет, который является высотой исходного треугольника. По т. Пифагора:
a^2 = (a/2)^2 + h^2;
h^2 = a^2 - (a/2)^2 = a^2 - (a^2/4) = (3/4)*(a^2).
h = a*(V3)/2,
Центр описанной окружности - это точка пересечения серединных перпендикуляров к сторонам данного треугольника. Но в равностороннем треугольнике все серединные перпендикуляры являются медианами (а также биссектрисами и высотами) этого треугольника. Поэтому длина h это длина медианы, а искомый радиус (в соответствии с теоремой 3) ) будет равен (2/3) от h. Т.е.
R = (2/3)*h = (2/3)*a*(V3)/2 = (2/3)*(V3)*(V3)/2 = 1.
4,6(55 оценок)
Новые ответы от MOGZ: Алгебра
logo
Вход Регистрация
Что ты хочешь узнать?
Спроси Mozg
Открыть лучший ответ