

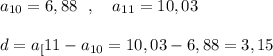
V1=6 км/ч
Объяснение:
S=1200 м=1,2 км
V₂=V₁ +2
Δt=t₁-t₂=10-7=3 мин=3/60=0,05 ч
V₁ ?
Время пути с V₁ t₁=S/V₁=1,2/V₁
Время пути с V₂ t₂=S/V₂=S/(V₁ +2)=1,2/(V₁+2)
Из первого уравнения вычитаем второе, получим
Δt=0,05=1,2/V₁-1,2/(V₁+2)=1,2(V₁+2)-V₁)/V₁(V₁+2)=2,4/(V₁²+2V₁) ⇒
0,05(V₁²+2V₁)-2,4=0
0,05V₁²+0,1V₁-2,4=0
D = b2 - 4ac = (0.1)2 - 4·0.05·(-2.4) = 0.01 + 0.48 = 0.49
V1 = -0.1 - √0.49/2/(0.05)
= ( -0.1 - 0.7)/0.1 = -0.8/0.1 = -8 этот корень не подходит
V1 = -0.1 + √0.49/2/(0.05) =( -0.1 + 0.7 )/0.1 = 0.6 /0.1 = 6
решив получаем V₁=6 км/ч
ответ:
69°
Объяснение:
луч образует прямой угол сс биссектрисой угла а. Что бы найти какой угол образует луч со стороной угла а, нужно из 90° вычесть уголугол, который образовала
биссектриса угла а со стороной угла а. Значит обнимаем из 90° половину 42° и получаем 69°ответ:
69°
Объяснение:
луч образует прямой угол сс биссектрисой угла а. Что бы найти какой угол образует луч со стороной угла а, нужно из 90° вычесть уголугол, который образовала
биссектриса угла а со стороной угла а. Значит обнимаем из 90° половину 42° и получаем 69°