М
Молодежь
К
Компьютеры-и-электроника
Д
Дом-и-сад
С
Стиль-и-уход-за-собой
П
Праздники-и-традиции
Т
Транспорт
П
Путешествия
С
Семейная-жизнь
Ф
Философия-и-религия
Б
Без категории
М
Мир-работы
Х
Хобби-и-рукоделие
И
Искусство-и-развлечения
В
Взаимоотношения
З
Здоровье
К
Кулинария-и-гостеприимство
Ф
Финансы-и-бизнес
П
Питомцы-и-животные
О
Образование
О
Образование-и-коммуникации
Beknazarova02
Beknazarova02
17.02.2022 22:29 •  Алгебра

f(x)=x2+2x-3 найдите множество решений неравенства f(x)>0

👇
Ответ:
Pharaonua
Pharaonua
17.02.2022

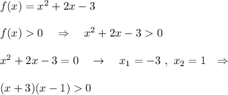
f(x)=x^2+2x-3f(x)0\ \ \ \Rightarrow \ \ \ x^2+2x-30x^2+2x-3=0\ \ \ \to \ \ \ x_1=-3\ ,\ x_2=1\ \ \Rightarrow (x+3)(x-1)0

Применим метод интервалов. Подсчитаем знаки, которые принимает функция в промежутках между нулями функции .  И выберем те промежутки, в которых  будет знак (+) .

+++(-3)---(1)+++x\in (-\infty ;-3\ )\cup (\ 1\ ;+\infty )

4,4(70 оценок)
Открыть все ответы
Ответ:
fox370
fox370
17.02.2022

См. Объяснение.

Объяснение:

1) Чтобы раскрыть скобки, надо почленно умножить сомножитель который стоит перед скобкой, на каждое число или буквенное (буквенно-цифровое) выражение, которое стоит в скобках, не забывая при этом о знаках: минус на минус даёт плюс; плюс на минус даёт минус; плюс на плюс даёт плюс:    

а · (-36+2с-у)= - 36а + 2ас - ау

Здесь мы сначала а умножили на -36 - получилось - 36а;

затем а умножили на 2с - получилось 2 ас,

затем а умножили на -у - получилось - ау.

2)  Здесь всё сделали аналогично:

-1,5 · (2х - 4у) = -3х + 6у

3)  А здесь после раскрытия скобок привели подобные:

3·(-4х+6) - (1-12х) = -12х +18 -1 + 12х = 17.

ПРИМЕЧАНИЕ.

В тетради надо записать только решения:

а · (-36+2с-у)= - 36а + 2ас - ау

-1,5 · (2х - 4у) = -3х + 6у

3·(-4х+6) - (1-12х) = -12х +18 -1 + 12х = 17.

Слова писать не надо, т.к. это - объяснение.

4,7(53 оценок)
Ответ:
саша10103
саша10103
17.02.2022

Объяснение:    

Задача №1.

Нам дан график линейной функции y = 5x - 1, а также точки: А(1;4), B(2;7).

Подставим значения иксов и игриков в формулу, задающую этот график:

4 = 5 * 1 - 1

4 = 4 - точка А принадлежит этому графику.

Подставляем значения второй точки в формулу:

7 = 5 * 2 - 1

7 не равно 9 - точка B не принадлежит этому графику.

Задача №2.

Здесь необходимо построить график функции. Как его строить? Чертим табличку, в первой строке - x, во второй - y. Подбирай любое значение x, потом это значение x подставляй  в формулу y = -3x + 5, вычисляй.

Моя прямая пересекала только ось 0x в точке (1,5;0), ось 0y прямая не пересекла.

Задача №3.

Подставим значения в формулу y = kx

-2 = -1k

Решим линейное уравнение:

1k = 2

k = 2

График линейной функции построй сам. Примечание: график будет проходить через начало координат.

Задача №5.

Составим систему линейных уравнений:

Эту систему мы решаем методом сложения. У нас есть одинаковая переменная y, которую можно уничтожить путем вычитания. Следовательно, мы будем два уравнения вычитать.

Получаем:

0 = -2 - 3x - 1

Решаем линейное уравнение:

3x = -2-1+0

3x = -3 |:3

x = -1

x = -1

y = -2

4,5(52 оценок)
Это интересно:
Новые ответы от MOGZ: Алгебра
Полный доступ к MOGZ
Живи умнее Безлимитный доступ к MOGZ Оформи подписку
logo
Вход Регистрация
Что ты хочешь узнать?
Спроси Mozg
Открыть лучший ответ