М
Молодежь
К
Компьютеры-и-электроника
Д
Дом-и-сад
С
Стиль-и-уход-за-собой
П
Праздники-и-традиции
Т
Транспорт
П
Путешествия
С
Семейная-жизнь
Ф
Философия-и-религия
Б
Без категории
М
Мир-работы
Х
Хобби-и-рукоделие
И
Искусство-и-развлечения
В
Взаимоотношения
З
Здоровье
К
Кулинария-и-гостеприимство
Ф
Финансы-и-бизнес
П
Питомцы-и-животные
О
Образование
О
Образование-и-коммуникации

4x-3y=-1 x-5y=4 решить подстановки

👇
Ответ:
zwitterlord2
zwitterlord2
09.03.2023
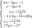
\left \{ {{4x-3y=-1} \atop {x-5y=4}} \right. \\ \left \{ {{x= \frac{-1+3y}{4} } \atop {-1+3y-16=20y \\ }} \right. \ \\ \left \{ {{x= \frac{-1+3y}{4} } \atop {17y=-17 \\ }} \\
ну а дальше думаю всё понятно
4,6(66 оценок)
Открыть все ответы
Ответ:
BrainSto
BrainSto
09.03.2023
Так, так, так. У линейной функции возрастание/убывание зависит от углового коэффицента k y=kx+m : если k>0, функция возрастает, k<0 - убывает. Всё просто. Т.е. в убывании обе функции линейные, k<0 и в первом (k=-7), и во втором y=4- \frac{1}{3}x; k=- \frac{1}{3}. С этим разобрались. Теперь к возрастанию. Я не знаю, в каком Вы классе, постараюсь объяснить доступно. Чтобы определить возрастание/убывание функции, нужно взять значения x_1; x_2, два произвольных числа, но x_1\ \textless \ x_2 . Пусть мы имеем функцию y=f(x), тогда вычисляем значения функции в этих двух точках, имеем f(x_1) и f(x_2), так вот, если x_1\ \textless \ x_2; f(x_1)\ \textless \ f(x_2);, тогда функция возрастающая, если же x_1\ \textless \ x_2; f(x_1)\ \textgreater \ f(x_2), то она убывающая, но только ПРИ УСЛОВИИ, что она монотонна на всей области определения (т.е. ТОЛЬКО возрастает или ТОЛЬКО убывает), в противном случае мы говорим о ПРОМЕЖУТКАХ возрастания и убывания. 1)y=x^3+1; x_1=-2; f(x_1)=(-2)^3+1=-7; x_2=4;x_1\ \textless \ x_2 \\ f(x_2)=4^3+1=65; f(x_1)\ \textless \ f(x_2), т.е. функция возрастающая. А вот задание с y= \frac{x^2}{2} не совсем корректно, так как эта функция возрастает только при x>0, при x<0 она убывает, x=0 - Точка экстремума. Если уж брать математический анализ, то легко взять производную и исследовать функцию на "скорость изменения" (алгебраический смысл производной) y= \frac{x^2}{2}; y'= \frac{2x}{2}=x;. Если производная в некоторой точке отрицательная, то функция убывает, если производная положительная, то функция возрастает, если производная равна 0, то это точка экстремума. Очевидно, что при x<0 функция убывает, при x>0 возрастает. Если же доказывать возрастание на промежутке x>0, тогда действуем, как и в первом случае (только не берем значения из ненужного нам промежутка): x_1=1; x_2=2; x_1\ \textless \ x_2; f(x_1)= \frac{1}{2};f(x_2)=2; f(x_1)\ \textless \ f(x_2), функция возрастает, что и требовалось доказать.
4,7(58 оценок)
Ответ:
alisheralisher2
alisheralisher2
09.03.2023
Арифметическая прогрессия задается параметрами:
- начальный элемент a₁
- разность прогрессии d

И тогда n-й элемент равен a₁+(n-1)d

Дано: а₃ = 7: a₉ = -18
Найти: a₁, a₆

В арифметической прогрессии для любых n и m одной четности элемент с индексом, равным среднему арифметическому n и m ((n+m)/2) равен среднему арифметическому элементов с индексами n и m.

6 = (3+9)/2, значит, a₆ есть среднее арифметическое элементов a₃ и a₉.

a₆ = (a₃+a₉)/2 = (7+(-18))/2 = -11/2

Разность между элементами a₃ и a₉ равна:
a₃-a₉ = (a₁+(3-1)d)-(a₁+(9-1)d) = a₁+2d-a₁-8d = -6d.
Отсюда d = (a₃-a₉)/(-6) = (7-(-18))/(-6) = -25/6

Т.к. a₃=a₁+2d, то a₁=a₃-2d

a₁ = 7-2*(-25/6) = 7+25/3 = 15+1/3
4,5(83 оценок)
Это интересно:
Новые ответы от MOGZ: Алгебра
logo
Вход Регистрация
Что ты хочешь узнать?
Спроси Mozg
Открыть лучший ответ