М
Молодежь
К
Компьютеры-и-электроника
Д
Дом-и-сад
С
Стиль-и-уход-за-собой
П
Праздники-и-традиции
Т
Транспорт
П
Путешествия
С
Семейная-жизнь
Ф
Философия-и-религия
Б
Без категории
М
Мир-работы
Х
Хобби-и-рукоделие
И
Искусство-и-развлечения
В
Взаимоотношения
З
Здоровье
К
Кулинария-и-гостеприимство
Ф
Финансы-и-бизнес
П
Питомцы-и-животные
О
Образование
О
Образование-и-коммуникации
happiness19854p06jm5
happiness19854p06jm5
28.12.2020 09:09 •  Алгебра

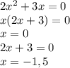
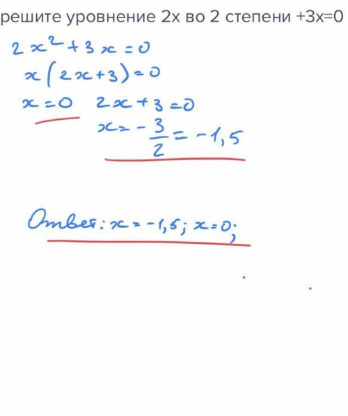
Решите уровнение 2x во 2 степени +3x=0

👇
Ответ:
komikadza
komikadza
28.12.2020

2x^2+3x=0\\x(2x+3)=0\\x=0\\2x+3=0\\x=-1,5

Получается х1=0, х2=-1,5

4,4(36 оценок)
Ответ:
aliaidi
aliaidi
28.12.2020
ответ на фотографии
Решите уровнение 2x во 2 степени +3x=0
4,4(2 оценок)
Открыть все ответы
Ответ:
сергей1074
сергей1074
28.12.2020
Разложим данный многочлен на множители
a³+3a²+2a=a(a²+3a+2)=a(a+1)(a+2)

a²+3a+2=(a+1)(a+2)
D=3²-4*1*2=9-8=1
a₁=(-3+1)/2=-2/2=-1
a₂=(-3-1)/2=-4/2=-2

В итоге, мы получили произведение трёх подряд идущих чисел, среди которых обязательно найдётся хотя бы одно чётное число и число делящееся на три. Следовательно, произведение трёх подряд идущих чисел будет кратно 6. Т.к. итоговое произведение получено из исходного многочлена путём равносильных преобразований, то делаем вывод:
 многочлен а³+3а²+2а  кратен  числу 6.
4,6(44 оценок)
Ответ:
nastyapuhova1
nastyapuhova1
28.12.2020
На заводе производится сплав, в котором на 2 кг алюминия приходится 1 кг никеля.      2 + 1 = 3 кг сплава.

Первая шахта: 60 рабочих; 5 рабочих часов в день;
           2 кг алюминия или 3 кг никеля 1 рабочий за 1 час.
Общее количество рабочих часов в день:  60*5 = 300 часов.
1 час / 3 кг = 1/3 часа нужно, чтобы один рабочий добыл 1 кг никеля.
Для 3 кг сплава требуется
1/3 часа на добычу 1 кг никеля и
1 час на добычу  2 кг алюминия.
1 час + 1/3 часа =  1 \frac{1}{3} = \frac{4}{3}  часа.

Пропорция
\frac{4}{3}  часа      -     3 кг сплава
300 часов   -     Х кг сплава
X = 300*3: \frac{4}{3} =900* \frac{3}{4} =675 кг сплава
------------------------------------------
Вторая шахта: 260 рабочих, 5 рабочих часов в день,
              3 кг алюминия или 2 кг никеля 1 рабочий за 1 час.
Общее количество рабочих часов в день:  260*5 = 1300 часов.
1 час / 2 кг = 1/2 часа, чтобы один рабочий добыл 1 кг никеля.
1 час / 3 кг = 1/3 часа, чтобы один рабочий добыл 1 кг алюминия.
Для 3 кг сплава требуется 
1/2 часа для добычи  1 кг никеля и
1/3 часа * 2 кг = 2/3 часа для добычи 2 кг алюминия.
1/2 часа + 2/3 часа =  \frac{3+4}{6} = \frac{7}{6}  часа.

Пропорция
\frac{7}{6}  часа      -     3 кг сплава
1300 часов    -     Х кг сплава
X = 1300*3: \frac{7}{6} =3900* \frac{6}{7} =3342 \frac{6}{7}  кг сплава

Обе шахты могут обеспечить завод металлом для получения
675 + 3342 \frac{6}{7}=4017 \frac{6}{7} кг сплава

ответ: 4017 \frac{6}{7}  кг сплава.
4,7(38 оценок)
Это интересно:
Новые ответы от MOGZ: Алгебра
logo
Вход Регистрация
Что ты хочешь узнать?
Спроси Mozg
Открыть лучший ответ