М
Молодежь
К
Компьютеры-и-электроника
Д
Дом-и-сад
С
Стиль-и-уход-за-собой
П
Праздники-и-традиции
Т
Транспорт
П
Путешествия
С
Семейная-жизнь
Ф
Философия-и-религия
Б
Без категории
М
Мир-работы
Х
Хобби-и-рукоделие
И
Искусство-и-развлечения
В
Взаимоотношения
З
Здоровье
К
Кулинария-и-гостеприимство
Ф
Финансы-и-бизнес
П
Питомцы-и-животные
О
Образование
О
Образование-и-коммуникации
бомж23
бомж23
09.02.2023 14:21 •  Алгебра

Задание 3 ( ). Решите систему уравнений:
2x +5 y – 4
= 2
3
6
3х – 5 Зу – 2 2
6
3


Задание 3 ( ). Решите систему уравнений: 2x +5 y – 4 = 2 3 6 3х – 5 Зу – 2 2 6 3

👇
Ответ:
popopolka111
popopolka111
09.02.2023

ответ:  (-1;-2) .

Сначала освободимся от дробей, умножив уравнения на соответствующие числа . Затем решаем систему методом сложения .

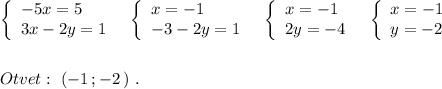
\left\{\begin{array}{l}\dfrac{2x+5}{3}-\dfrac{y-4}{6}=2\ \Big|\cdot 6\\\dfrac{3x-5}{4}-\dfrac{3y-2}{6}=-\dfrac{2}{3}\ \Big|\cdot 12\end{array}\right\ \ \left\{\begin{array}{l}2(2x+5)-(y-4)=12\\3(3x-5)-2(3y-2)=-8\end{array}\right

\left\{\begin{array}{l}4x+10-y+4=12\\9x-15-6y+4=-8\end{array}\right\ \ \left\{\begin{array}{l}4x-y=-2\\9x-6y=3\ \Big|:3\end{array}\right\ \ \left\{\begin{array}{l}4x-y=-2\ \Big|\cdot (-2)\\3x-2y=1\end{array}\right\ \oplus

\left\{\begin{array}{l}-5x=5\\3x-2y=1\end{array}\right\ \ \left\{\begin{array}{l}x=-1\\-3-2y=1\end{array}\right\ \ \left\{\begin{array}{l}x=-1\\2y=-4\end{array}\right\ \ \left\{\begin{array}{l}x=-1\\y=-2\end{array}\rightOtvet:\ (-1\, ;-2\, )\ .

4,8(58 оценок)
Открыть все ответы
Ответ:
камран12
камран12
09.02.2023
По определению среднее арифметическое равно общей сумме членов деленное на их общее количество:
\frac{a_1+a_2+...+a_n}{n}=\frac{S_n}{n}=2n
откуда сумма n первых членов арифметической последовательности равна
S_n=2n^2
в частности
S_1=a_1=2*1^2=2
S_2=a_1+a_2=2*2^2=8
отсюда второй член последовательности равен
a_2=S_2-S_1=8-2=6
разность арифметической прогрессии равна
d=a_2-a_1=6-2=4
значит искомая арифметическая прогрессия это арифметическая прогрессия с первым членов 2, и разностью арифметической прогрессии 4
(2, 6, 10, 14, 18, .....)
----------
///////////
маленькая проверочка схождения с формулой суммы членов прогрессии
a_1=2;d=4
S_n=\frac{2a_1+(n-1)*d}{2}*n
S_n=\frac{2*2+(n-1)*4}{2}*n=(2+2(n-1))n=(2+2n-2)n=2n^2
//////////
ответ: арифмитичесская прогрессия с первым членом 2 и разностью прогрессии 4
4,8(69 оценок)
Ответ:
xovancku
xovancku
09.02.2023
1) Раскрыть скобки:
x^4-10x^3+35x^2-50x+24=0
2) Рассмотреть все числа на которые может делиться число 24.
Это: 1,2,3,4,6,8,12,24
После проверки каждого числа подходит только 1.
1^4−10×1^3+35×1^2−50×1+24=0
60-60=0
3) Далее необходимо поделить уравнение x^4-10x^3+35x^2-50x+24=0 на (x-1)
=> (x^3−9x^2+26x−24)(x−1)=0
4) Повторяем шаги 2 и 3 относительно этого уравнения: x^3−9x^2+26x−24=0
В данном случае ответ будет (х-2)
5)В итоге имеем (x^2−7x+12)(x−2)(x−1)=0
6) Дальше я уже думаю Вы сами знаете как решать.
7) ответ: (x−4)(x−3)(x−2)(x−1)=0
х=1,2,3,4.
4,6(19 оценок)
Это интересно:
Новые ответы от MOGZ: Алгебра
logo
Вход Регистрация
Что ты хочешь узнать?
Спроси Mozg
Открыть лучший ответ