М
Молодежь
К
Компьютеры-и-электроника
Д
Дом-и-сад
С
Стиль-и-уход-за-собой
П
Праздники-и-традиции
Т
Транспорт
П
Путешествия
С
Семейная-жизнь
Ф
Философия-и-религия
Б
Без категории
М
Мир-работы
Х
Хобби-и-рукоделие
И
Искусство-и-развлечения
В
Взаимоотношения
З
Здоровье
К
Кулинария-и-гостеприимство
Ф
Финансы-и-бизнес
П
Питомцы-и-животные
О
Образование
О
Образование-и-коммуникации
toshakotik
toshakotik
09.10.2021 19:38 •  Алгебра

Найдите сумму пяти первых членов прогрессии если в5 = 81 и в3 = 36.

👇
Ответ:
TheFelixShow
TheFelixShow
09.10.2021
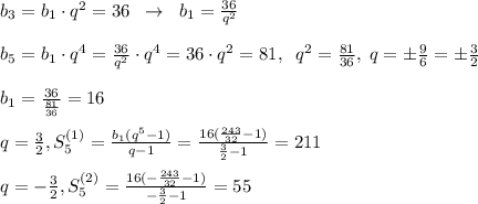
b_3=b_1\cdot q^2=36\; \; \to \; \; b_1=\frac{36}{q^2}\\\\b_5=b_1\cdot q^4=\frac{36}{q^2}\cdot q^4=36\cdot q^2=81,\; \; q^2=\frac{81}{36},\; q=\pm \frac{9}{6}=\pm \frac{3}{2}\\\\b_1=\frac{36}{\frac{81}{36}}=16\\\\q=\frac{3}{2},S^{(1)}_5=\frac{b_1(q^{5}-1)}{q-1}=\frac{16(\frac{243}{32}-1)}{\frac{3}{2}-1}=211\\\\q=-\frac{3}{2},S^{(2)}_5}=\frac{16(-\frac{243}{32}-1)}{-\frac{3}{2}-1}=55
4,5(78 оценок)
Ответ:
susystgr
susystgr
09.10.2021
Решение:Сначала найдём q, затем b_{1}
1) Для нахождения q воспользуемся формулой:
b_{n} = b_{m} * q^{n-m}
q= \sqrt[n-m]{ \frac{ b_{n} }{ b_{m} } } =+- \sqrt{ \frac{81}{36} } =+-1.5

2) Для нахождения b_{1}  воспользуемся формулой:
b_{m} = b_{1} * q^{m-1}
b_{1} = \frac{ b_{m} }{ q^{m-1} }
b_{1} = \frac{36}{ (+-1,5)^{3-1} } =16

3) Для нахождения  S_{5} воспользуемся формулой:
S_{k} = \frac{ b_{1}( q^{k}-1) }{q-1}

Вычисляем  S_{5}  для q=1,5 иb_{1}=16:
S_{5}= \frac{16(1.5^{5}-1) }{1.5-1} =211

Вычисляем S_{5}  для q=-1,5 иb_{1}=16:
S_{5}= \frac{16((- 1.5)^{5}-1) }{-1.5-1} =55

ответ: S5=211 или S5=55
4,5(43 оценок)
Открыть все ответы
Ответ:
polina5m
polina5m
09.10.2021
Каждую сторону ромба можно уменьшить на любое число положительное "a" получившийся меньший ромб все равно будет подобен исходному, но если нам необходимо сохранить пропорции сторон и площади ромбов, а n это цело число то каждую сторону ромба будем уменьшать на четное количество раз, таким образом
например: если исходный ромб имеет сторону 8 то его Р= 32, уменьшим каждую сторону вдвое и получим ромб со стороной 4 тогда площадь этого ПОДОБНОГО ромба будет 16, что соответствует целому параметру n и т.д.
4,5(55 оценок)
Ответ:
Ізабель
Ізабель
09.10.2021
Исходное число должно быть четырехзначным.
Пусть исходное число будет ABCD=1000A+100B+10C+D.
Из четырехзначного числа ABCD вычли сумму его цифр и получили 2016:
1000A+100B+10C+D-(А+В+С+D)=2016
Раскроим скобки и решим:
1000A+100B+10C+D-А-В-С-D=2016
999А+99В+9С=2016
Сократим на 9:
111А+11В+С=224
Очевидно, что 1<А>3, т.е. А=2 (2000).
111*2+11В+С=224
 222+11В+С=224
11В+С=224-222
11В+С=2
С=2-11В, где С и В – натуральные положительные числа от 0 до 9. При значениях В от 1 до 9, С – отрицательное число.
Значит В=0, тогда С=2-11*0=2
Получаем число 202D, где D - натуральное положительное число от 0 до 9, т.е. возможные исходные значения от 2020 до 2029.
9 – максимальное значение D, значит наибольшее возможное исходное значение 2029.
Проверим: 2029 – (2+2+0+9)=2029-13=2016
ответ: наибольшее возможное исходное значение число 2029
4,6(39 оценок)
logo
Вход Регистрация
Что ты хочешь узнать?
Спроси Mozg
Открыть лучший ответ