М
Молодежь
К
Компьютеры-и-электроника
Д
Дом-и-сад
С
Стиль-и-уход-за-собой
П
Праздники-и-традиции
Т
Транспорт
П
Путешествия
С
Семейная-жизнь
Ф
Философия-и-религия
Б
Без категории
М
Мир-работы
Х
Хобби-и-рукоделие
И
Искусство-и-развлечения
В
Взаимоотношения
З
Здоровье
К
Кулинария-и-гостеприимство
Ф
Финансы-и-бизнес
П
Питомцы-и-животные
О
Образование
О
Образование-и-коммуникации
1user
1user
12.01.2023 07:58 •  Алгебра

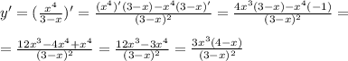
Найти производную(распишете подробно): 1) y= - 3cosx * (x`2 + 2) 2)y=1/на корень из x 3) y= 1/sinx 4)y=x`4/ 3-x

👇
Ответ:
kuchatrupov47
kuchatrupov47
12.01.2023
1)
y' = (- 3cosx * ( x^{2} +2))' = -3 [(cosx)' * ( x^{2} +2)+cosx * (x^{2} +2)'] = \\ \\ = -3 [-sinx * ( x^{2} +2)+cosx * 2x] = -3 (2x*cosx-(x^{2} +2)*sinx)

2) 
y' = ( \frac{1}{ \sqrt{x} })' = ( {x}^{-1/2} })' = - \frac{1}{2} * x^{-3/2} = - \frac{1}{2 \sqrt{x^3} }

3) 
y' = ( \frac{1}{sinx} )' = (sin^{-1}x)' = - 1 *sin^{-2}x*(sinx)' = - \frac{cosx}{sin^2x}

4) 
y' = ( \frac{x^4}{3-x})' = \frac{(x^4)'(3-x)-x^4(3-x)'}{(3-x)^2} = \frac{4x^3(3-x)-x^4(-1)}{(3-x)^2} = \\ \\ = \frac{12x^3-4x^4+x^4}{(3-x)^2} = \frac{12x^3-3x^4}{(3-x)^2} = \frac{3x^3(4-x)}{(3-x)^2}
4,8(2 оценок)
Открыть все ответы
Ответ:
aarodin
aarodin
12.01.2023
А) log по основанию 4 (sinx+2sinxcosx+16)=log 16 по основанию 4
логарифмы отбрасываем и приравниваем подлогарифмические выражения
sinx+2sinxcosx+16=16
sinx+2sinxcosx=16-16
sinx(1+2cosx)=0
sinx=0                  или                             1+2cosx=0
x=n, n∈z                              2cosx=-1
                                                               cosx=-1/2
                                                   x=(-/3)+2n
                                                   x=2/3+2n, n∈z
б)(720;-450)

x=2n, n∈z
4,7(44 оценок)
Ответ:
daviduk2509
daviduk2509
12.01.2023
1) Просто вместо x подставь число 4 и посчитай у. Значение у - и будет значением функции. y=0.5*4-1=1
2) Вместо у подставь (-8) и реши уравнение. Значение х - значение аргумента.
-8=0.5х-1
0.5х=-7
х=-14
3)    (1)При пересечении с осью абсцисс (горизонтальная ось) у=0, следовательно в формулу вместо у подставляешь 0 и находишь х.
0=0.5х-1
х=2
Значит (2;0) - координаты пересечения графика с осью абсцисс.
       (2)При пересечении с осью ординат (вертикальная ось) х=0, следовательно в формулу вместо х подставляешь 0 и находишь у.
у=0.5*0-1
у=-1
Значит (0;-1) - координаты пересечения графика с осью ординат.
4,8(80 оценок)
Новые ответы от MOGZ: Алгебра
logo
Вход Регистрация
Что ты хочешь узнать?
Спроси Mozg
Открыть лучший ответ