М
Молодежь
К
Компьютеры-и-электроника
Д
Дом-и-сад
С
Стиль-и-уход-за-собой
П
Праздники-и-традиции
Т
Транспорт
П
Путешествия
С
Семейная-жизнь
Ф
Философия-и-религия
Б
Без категории
М
Мир-работы
Х
Хобби-и-рукоделие
И
Искусство-и-развлечения
В
Взаимоотношения
З
Здоровье
К
Кулинария-и-гостеприимство
Ф
Финансы-и-бизнес
П
Питомцы-и-животные
О
Образование
О
Образование-и-коммуникации
SIHGFI
SIHGFI
02.07.2020 08:08 •  Алгебра

Решите системы уравнений.напишите полное решение

👇
Ответ:
2002dima14
2002dima14
02.07.2020
 \left \{ {{x-6y=17} \atop {5x+6y=16}} \right.
 \left \{ {{x-6y=17} \atop {6x=33}} \right.
\left \{ {{x-6y=17} \atop {x=5}} \right. 
\left \{ {{5-6y=17} \atop {x=5}} \right. 
\left \{ {{-6y=17-5} \atop {x=5}} \right. 
\left \{ {{y=-2} \atop {x=5}} \right.  

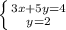
\left \{ {{3x+5y=4} \atop {-3x+y=8}} \right.  
\left \{ {{3x+5y=4} \atop {6y=12}} \right.
\left \{ {{3x+5y=4} \atop {y=2}} \right.
\left \{ {{3x+5*2=4} \atop {y=2}} \right.
\left \{ {{3x=4-10} \atop {y=2}} \right.
\left \{ {{3x=-6} \atop {y=2}} \right.
\left \{ {{x=-2} \atop {y=2}} \right.

\left \{ {{2x+3y=3} \atop {5x+6y=9}} \right.
\left \{ {{2x+3y=3}/-2 \atop {5x+6y=9}} \right.
\left \{ {{-4x-6y=-6} \atop {5x+6y=9}} \right.
\left \{ {{-4x-6y=-6} \atop {x=3}} \right.
\left \{ {{-4*3-6y=-6} \atop {x=3}} \right.
\left \{ {{-6y=-6+12} \atop {x=3}} \right.
\left \{ {{-6y=6} \atop {x=3}} \right.
\left \{ {{y=-1} \atop {x=3}} \right.  

\left \{ {{x-2y=8} \atop {x-3y=6}} \right.
\left \{ {{x-2y=8}/-1 \atop {x-3y=6}} \right.
\left \{ {{-x+2y=-8} \atop {x-3y=6}} \right.
\left \{ {{-x+2y=-8} \atop {-y=-2}} \right.
\left \{ {{-x+2y=-8} \atop {y=2}} \right.
\left \{ {{-x+2*2=-8} \atop {y=2}} \right.
\left \{ {{-x=-8-4} \atop {y=2}} \right.
\left \{ {{-x=-12} \atop {y=2}} \right.
\left \{ {{x=12} \atop {y=2}} \right.

Если хотите проверить, просто подставьте значения в системы.
4,5(18 оценок)
Открыть все ответы
Ответ:
qwerty882
qwerty882
02.07.2020

В основу сюжета классического романа Х1Х века зачастую была положена история личности, ее взаимоотношений с обществом. В одном из великих произведений ХХ века – “Поднятой целине” Шолохова – сюжетную основу составляют события огромного исторического значения. Революционный переворот в деревне, завершившийся победой колхозов, определяет связи, противоречия, симпатии и антипатии героев романа.

Особое место в книге занимают любовные отношения Вари Харламовой и Семена Давыдова. Внутренняя красота Давыдова открывается не только

в социально важных, общественно значимых событиях. Не меньшее значение имеет его любовь к Вареньке Харламовой. Да и девушка любила героя прекрасной юной любовью, противоречащей циничному, расчетливому чувству Лушки.

Связь с Лушкой унижала Давыдова, рядом с ней он, по выражению Шалого, “деготком вымазался”.

Любовь Вари возвышенна. История любви этих людей рассказана с удивительной нежностью и одухотворенностью. Она пленяет печалью переживаний, благородной чистотой и непосредственностью первого чувства.

В этом эпизоде автор своеобразно описывает взаимоотношения влюбленных – развитие

их происходит по восходящей линии. Варя ждет Давыдова для того, чтобы поговорить с ним. С самого начала разговора ощущается обоюдный интерес собеседников друг к другу, но Шолохов не сразу раскрывает чувства героев.

Эмоциональное напряжение возрастает постепенно, в итоге превращаясь в слезы и переживания.

Повторенное множество раз слово “милая” передает особенную восторженность переживаний Давыдова. В устах этого сдержанного человека оно приобретает волнующую напряженность. Давыдов, очевидно, не подозревал, что Варя пробудила в нем извечную человеческую тоску по семье, детям.

Таким образом, Шолохов подготовил развязку решающего разговора между влюбленными.

Давыдов узнает о сватовстве, о настойчивом требовании матери Вари к дочери – выйти замуж за Ваньку Обнизова, так как они “живут исправно”. В этот момент он, неожиданно для себя, испытывает “полное смятение”: “Растерянный, онемевший от неожиданности, чувствуя острую боль в сердце, он молча сжал Варины руки, … и не знал, что сказать”. Давыдов начал понимать, что уже давно любит эту девушку – новой для него, “чистой и непонятной любовью”.

Чувства, которые он тщательно скрывал от самого себя, вырвались наружу.

Любовь Давыдова – не слепое, эгоистичное, замкнутое чувство: он прежде всего думает о Варе, о ее судьбе. Решение было принято: “Что же, женюсь на Варюхе. Пора кончать матросу с холостяцкой жизнью!” В нем проснулся мужчина-отец, мужчина-защитник, заботящийся о любимой девушке.

Давыдов пытается строить планы на будущее, думая прежде всего о благополучии Вари.

Во время решающего разговора он сохраняет спокойствие и рассудительность, чем приводит девушку в отчаяние. Варя отличается чуткостью, восприимчивостью, искренностью, она на сильное и глубокое чувство. Девушка эмоциональна, в своей любви она готова на любые жертвы: “Миленький ты мой, не приходи ты к нам, не говори ни о чем с матерью! Хочешь, я буду жить с тобой, ну… ну как Лушка?

Поживем годок, а потом бросай меня! Я выйду замуж за Ваньку. Он меня всякую возьмет…”

Любовь Вари безгранична и безрассудна, она готова почти на любое унижение, лишь бы быть рядом с милым сердцу человеком.

Практически весь данный эпизод построен на диалоге Вари и Давыдова. Шолохову удалось описать психологическое состояние влюбленных, которое передавалось через смену интонаций и перепадов настроения. Варя то плачет, то отказывается от то пытается убежать.

Внутри нее происходит ожесточенная борьба разума и чувств.

На мой взгляд, в этом эпизоде проявляется необычайная сила первой любви. Она поглощает все существо человека, заставляя его жестоко страдать и, в то же время, быть счастливым. В своей любви Давыдов сдержан, он внутренне переживает нахлынувшие эмоции.

Варенька же импульсивна, это свойственно ее возрасту. Она больше не может молчать о своей любви: “Дурак слепой! Слепец проклятый! Ничего ты не видишь!

В данном эпизоде происходит развитие отношений между Варей и Семеном. Беседа начинается с рассказа девушки о своей проблеме, а завершается признанием в любви. Множество проблем усложняют ситуацию.

Между героями – пропасть, они не совсем понимают друг друга. На бурное поведение отчаянной Вари Давыдов отвечает с присущей ему холодностью и абсолютным спокойствием. Однако его истинные чувства выдает речь: Семен относится с пониманием к беде девушки, пытается ей всеми силами.

Девушка раскрывается перед любимым человеком, невольно подталкивая его к решительным действиям. Давыдов находит в себе смелость и настойчивость прийти свататься к матери любимой. Неизвестно, как бы сложилась дальнейшая судьба героев, если бы Варя не пришла к Семену за Таким образом, Шолохов с присущим ему психологизмом доказал, что настоящая любовь не знает преград.

Объяснение: Ну а происходит вроде в эпизоде из главы 24, книги 2 романа М. А. Шолохова “Поднятая целина”)...

4,7(61 оценок)
Ответ:
CoolCaroot
CoolCaroot
02.07.2020

В основу сюжета классического романа Х1Х века зачастую была положена история личности, ее взаимоотношений с обществом. В одном из великих произведений ХХ века – “Поднятой целине” Шолохова – сюжетную основу составляют события огромного исторического значения. Революционный переворот в деревне, завершившийся победой колхозов, определяет связи, противоречия, симпатии и антипатии героев романа.

Особое место в книге занимают любовные отношения Вари Харламовой и Семена Давыдова. Внутренняя красота Давыдова открывается не только

в социально важных, общественно значимых событиях. Не меньшее значение имеет его любовь к Вареньке Харламовой. Да и девушка любила героя прекрасной юной любовью, противоречащей циничному, расчетливому чувству Лушки.

Связь с Лушкой унижала Давыдова, рядом с ней он, по выражению Шалого, “деготком вымазался”.

Любовь Вари возвышенна. История любви этих людей рассказана с удивительной нежностью и одухотворенностью. Она пленяет печалью переживаний, благородной чистотой и непосредственностью первого чувства.

В этом эпизоде автор своеобразно описывает взаимоотношения влюбленных – развитие

их происходит по восходящей линии. Варя ждет Давыдова для того, чтобы поговорить с ним. С самого начала разговора ощущается обоюдный интерес собеседников друг к другу, но Шолохов не сразу раскрывает чувства героев.

Эмоциональное напряжение возрастает постепенно, в итоге превращаясь в слезы и переживания.

Повторенное множество раз слово “милая” передает особенную восторженность переживаний Давыдова. В устах этого сдержанного человека оно приобретает волнующую напряженность. Давыдов, очевидно, не подозревал, что Варя пробудила в нем извечную человеческую тоску по семье, детям.

Таким образом, Шолохов подготовил развязку решающего разговора между влюбленными.

Давыдов узнает о сватовстве, о настойчивом требовании матери Вари к дочери – выйти замуж за Ваньку Обнизова, так как они “живут исправно”. В этот момент он, неожиданно для себя, испытывает “полное смятение”: “Растерянный, онемевший от неожиданности, чувствуя острую боль в сердце, он молча сжал Варины руки, … и не знал, что сказать”. Давыдов начал понимать, что уже давно любит эту девушку – новой для него, “чистой и непонятной любовью”.

Чувства, которые он тщательно скрывал от самого себя, вырвались наружу.

Любовь Давыдова – не слепое, эгоистичное, замкнутое чувство: он прежде всего думает о Варе, о ее судьбе. Решение было принято: “Что же, женюсь на Варюхе. Пора кончать матросу с холостяцкой жизнью!” В нем проснулся мужчина-отец, мужчина-защитник, заботящийся о любимой девушке.

Давыдов пытается строить планы на будущее, думая прежде всего о благополучии Вари.

Во время решающего разговора он сохраняет спокойствие и рассудительность, чем приводит девушку в отчаяние. Варя отличается чуткостью, восприимчивостью, искренностью, она на сильное и глубокое чувство. Девушка эмоциональна, в своей любви она готова на любые жертвы: “Миленький ты мой, не приходи ты к нам, не говори ни о чем с матерью! Хочешь, я буду жить с тобой, ну… ну как Лушка?

Поживем годок, а потом бросай меня! Я выйду замуж за Ваньку. Он меня всякую возьмет…”

Любовь Вари безгранична и безрассудна, она готова почти на любое унижение, лишь бы быть рядом с милым сердцу человеком.

Практически весь данный эпизод построен на диалоге Вари и Давыдова. Шолохову удалось описать психологическое состояние влюбленных, которое передавалось через смену интонаций и перепадов настроения. Варя то плачет, то отказывается от то пытается убежать.

Внутри нее происходит ожесточенная борьба разума и чувств.

На мой взгляд, в этом эпизоде проявляется необычайная сила первой любви. Она поглощает все существо человека, заставляя его жестоко страдать и, в то же время, быть счастливым. В своей любви Давыдов сдержан, он внутренне переживает нахлынувшие эмоции.

Варенька же импульсивна, это свойственно ее возрасту. Она больше не может молчать о своей любви: “Дурак слепой! Слепец проклятый! Ничего ты не видишь!

В данном эпизоде происходит развитие отношений между Варей и Семеном. Беседа начинается с рассказа девушки о своей проблеме, а завершается признанием в любви. Множество проблем усложняют ситуацию.

Между героями – пропасть, они не совсем понимают друг друга. На бурное поведение отчаянной Вари Давыдов отвечает с присущей ему холодностью и абсолютным спокойствием. Однако его истинные чувства выдает речь: Семен относится с пониманием к беде девушки, пытается ей всеми силами.

Девушка раскрывается перед любимым человеком, невольно подталкивая его к решительным действиям. Давыдов находит в себе смелость и настойчивость прийти свататься к матери любимой. Неизвестно, как бы сложилась дальнейшая судьба героев, если бы Варя не пришла к Семену за Таким образом, Шолохов с присущим ему психологизмом доказал, что настоящая любовь не знает преград.

Объяснение: Ну а происходит вроде в эпизоде из главы 24, книги 2 романа М. А. Шолохова “Поднятая целина”)...

4,5(59 оценок)
Это интересно:
logo
Вход Регистрация
Что ты хочешь узнать?
Спроси Mozg
Открыть лучший ответ