М
Молодежь
К
Компьютеры-и-электроника
Д
Дом-и-сад
С
Стиль-и-уход-за-собой
П
Праздники-и-традиции
Т
Транспорт
П
Путешествия
С
Семейная-жизнь
Ф
Философия-и-религия
Б
Без категории
М
Мир-работы
Х
Хобби-и-рукоделие
И
Искусство-и-развлечения
В
Взаимоотношения
З
Здоровье
К
Кулинария-и-гостеприимство
Ф
Финансы-и-бизнес
П
Питомцы-и-животные
О
Образование
О
Образование-и-коммуникации
Karinaa11111
Karinaa11111
12.02.2021 11:25 •  Алгебра

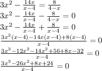
Решить уравнение 3x^2-14x/x-4=8/4-x

👇
Ответ:
zirkakoi
zirkakoi
12.02.2021
3 x^{2} - \frac{14x}{x-4} = \frac{8}{4-x} \\ 3 x^{2} - \frac{14x}{x-4} -\frac{8}{4-x}=0 \\ 3 x^{2} - \frac{14x}{x-4} +\frac{8}{x-4}=0 \\ \frac{3 x^{2} (x-4)-14x(x-4)+8(x-4)}{x-4} =0 \\ \frac{ 3x^{3}-12 x^{2} -14 x^{2}+56+8x-32}{x-4} =0 \\ \frac{3 x^{3}-26 x^{2} +8x+ 24}{x-4}=0 \\
3x³-26x²+8x+24=0
(3x³-26x²)(8x+24)=0
x²(3x-26)(8x+24)=0
x²=0                   3x-26=0                       8x+24=0
x=0                     3x=26                         8x=-24
                           x=26/3                          x=-3
4,6(45 оценок)
Открыть все ответы
Ответ:
ladysachenko20
ladysachenko20
12.02.2021

Предполагая, что 0<a<90 ,   Определите 4(ctg²2α) , если sina=1/3.

* * * * * * * * * * * * * * * * * * * * * * * * * *

ответ:  6,125 .

Объяснение:  * * *ctg(α+β) = (ctgα*ctgβ -1) / (ctgβ+ctgα)   * * *  || α=β ||⇒ ctg2α = (ctg²α -1) / 2ctgα.

4ctg²2α =   4*( (ctg²α -1 ) /2ctgα ) )²  = (ctg²α -1 )²/ ctg²α

--- нужно вычислить (ctgα)   ctg²α

ctg²α =cos²α /sin²α =  (1 -sin²α) /sin²α =1 /sin²α  - 1 =

sinα = 1/3 ⇒ sin²α = (1/3)² =1/9 , отсюда   1/sin²α = 9  и  ctg²α = 8 .

Окончательно : 4ctg²2α =   (ctg²α -1 )²/ ctg²α = (8 -1)²/8 = 49/8  = 6,125.

условие  0<a<90   оказалось лишнее  (не был использован)

4,4(73 оценок)
Ответ:
Lerkalerusya
Lerkalerusya
12.02.2021

Объяснение:

2x² - 5х + 3 = 0; D=25-24=1

x₁=(5-1)/4=4/4=1

x₂=(5+1)/4=6/4=3/2=1,5

ответ: 1 и 1,5.

t² + 3t = -4t - 6 -t²

-4t-6-t²-t²-3t=0

-2t²-7t-6=0

2t²+7t+6=0; D=49-48=1

t₁=(-7-1)/4=-8/4=-2

t₂=(-7+1)/4=-6/4=-3/2=-1,5

ответ: -2 и -1,5.

4x² - 4х + 1 = 0; D=16-16=0

x=4/8=1/2=0,5

ответ: 0,5.

4x(x-2) + x² = 6x + 3

4x²-8x+x²-6x-3=0

5x²-14x-3=0; D=196+60=256

x₁=(14-16)/10=-2/10=-0,2

x₂=(14+16)/10=30/10=3

ответ: -0,2 и 3.

7x² - 6х - 1 = 0; D=36+28=64

x₁=(6-8)/14=-2/14=-1/7

x₂(6+8)/14=14/14=1

ответ: -1/7 и 1.

(x-1)² + 4x² = 4

x²-2x+1+4x²-4=0

5x²-2x-3=0; D=4+60=64

x₁=(2-8)/10=-6/10=-0,6

x₂=(2+8)/10=10/10=1

ответ: -0,6 и 1.

4,4(84 оценок)
Это интересно:
logo
Вход Регистрация
Что ты хочешь узнать?
Спроси Mozg
Открыть лучший ответ