М
Молодежь
К
Компьютеры-и-электроника
Д
Дом-и-сад
С
Стиль-и-уход-за-собой
П
Праздники-и-традиции
Т
Транспорт
П
Путешествия
С
Семейная-жизнь
Ф
Философия-и-религия
Б
Без категории
М
Мир-работы
Х
Хобби-и-рукоделие
И
Искусство-и-развлечения
В
Взаимоотношения
З
Здоровье
К
Кулинария-и-гостеприимство
Ф
Финансы-и-бизнес
П
Питомцы-и-животные
О
Образование
О
Образование-и-коммуникации
xamidulla1956
xamidulla1956
02.02.2020 07:56 •  Алгебра

Объясните, , как решать такие уравнения : 2cos(4x+1)=-1;

👇
Ответ:
Марина11133
Марина11133
02.02.2020
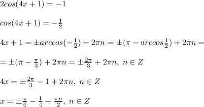
2cos(4x+1)=-1\\\\cos(4x+1)=-\frac{1}{2}\\\\4x+1=\pm arccos(-\frac{1}{2})+2\pi n=\pm (\pi-arccos\frac{1}{2})+2\pi n=\\\\=\pm (\pi -\frac{\pi}{3})+2\pi n=\pm \frac{2\pi}{3}+2\pi n,\; n\in Z\\\\4x=\pm \frac{2\pi }{3}-1+2\pi n,\; n\in Z\\\\x=\pm \frac{\pi }{6}-\frac{1}{4}+\frac{\pi n}{2},\; n\in Z
4,8(31 оценок)
Открыть все ответы
Ответ:
Патич232
Патич232
02.02.2020
Давай начнем с того, что обозначим неизвестное расстояние от лагеря до места, где туристы причалили к берегу. Пусть это расстояние будет равно х километрам.

Теперь мы знаем, что туристы плыли вверх по течению реки, поэтому скорость лодки относительно берега будет равна разности скорости лодки и скорости течения реки: 6 км/ч - 3 км/ч = 3 км/ч.

Затем туристы гуляли 2 часа и вернулись обратно через 6 часов от начала путешествия. Обратите внимание, что если они вернулись через 6 часов, то скорость лодки относительно берега должна быть такой же, как и вначале путешествия.

Итак, теперь они плывут вниз по течению реки и скорость лодки относительно берега равна 3 км/ч.

Так как расстояние равно скорости умноженной на время, для пути вверх по течению реки мы можем записать уравнение: время в пути вверх по течению равно расстоянию, деленному на скорость.

Таким образом, время в пути вверх по течению будет: х км / 3 км/ч = х/3 часа.

После того, как туристы вернулись обратно, они плыли вниз по течению реки, поэтому время в пути вниз по течению будет: х км / 3 км/ч = х/3 часа.

Теперь мы знаем, что время гуляния составило 2 часа, и обратное путешествие заняло 6 часов. Следовательно, общее время путешествия будет равно сумме времени в пути вверх и вниз, а это равно x/3 + x/3 + 2 часа.

Мы также знаем, что обратное путешествие заняло 6 часов, поэтому мы можем записать уравнение: x/3 + x/3 + 2 = 6.

Сначала мы можем объединить две части x/3 в одну: 2x/3 + 2 = 6.

Затем вычтем 2 из обеих сторон уравнения: 2x/3 = 4.

Далее умножим обе части уравнения на 3: 2x = 12.

И наконец, разделим обе части уравнения на 2: x = 6.

Таким образом, расстояние от лагеря до места, где туристы причалили к берегу, равно 6 километрам.
4,6(76 оценок)
Ответ:
anshul
anshul
02.02.2020
Температура воздуха колеблется в зависимости от времени суток и наличия солнца. Дневная температура обычно выше, а ночная температура ниже. На графике видно, что дневная температура в конце апреля составляет от 20 до 25 градусов цельсия, а ночная температура может достигать отрицательных значений, примерно -5 градусов цельсия.

Теперь давайте поговорим о возможном местоположении города.

1. Зона экватора: Города, находящиеся в зоне экватора, обычно имеют однородный климат с малыми колебаниями температуры воздуха в течение года. Так как на графике видно большие колебания в температуре воздуха, включая отрицательные значения ночью, можно сделать вывод, что город не находится в зоне экватора.

2. Субтропики: Субтропические области имеют более разнообразный климат с более заметными сезонными изменениями температуры. В этих областях приблизительно в третий день весеннего месяца температура воздуха может колебаться и достигать отрицательных значений ночью. Таким образом, город может находиться в субтропиках.

3. Полушария: Для определения полушария, в котором находится город, нам понадобится больше информации. Если в апреле второго весеннего месяца (то есть апрель) в северном полушарии находится осень, то город, судя по колебаниям температуры, скорее всего находится в южном полушарии. Температурные колебания в городе субтропиков на южном полушарии могут быть обусловлены различными факторами, такими как близость к побережью, наличие гор, влияние океанского или морского течения и т. д.

Вывод: Исходя из графика изменения температуры воздуха в апреле второго весеннего месяца, можно предположить, что город находится в субтропиках в южном полушарии. Однако, для точного определения полушария и уточнения местоположения города, необходимо иметь больше информации о его географическом расположении.
4,6(26 оценок)
Это интересно:
logo
Вход Регистрация
Что ты хочешь узнать?
Спроси Mozg
Открыть лучший ответ