М
Молодежь
К
Компьютеры-и-электроника
Д
Дом-и-сад
С
Стиль-и-уход-за-собой
П
Праздники-и-традиции
Т
Транспорт
П
Путешествия
С
Семейная-жизнь
Ф
Философия-и-религия
Б
Без категории
М
Мир-работы
Х
Хобби-и-рукоделие
И
Искусство-и-развлечения
В
Взаимоотношения
З
Здоровье
К
Кулинария-и-гостеприимство
Ф
Финансы-и-бизнес
П
Питомцы-и-животные
О
Образование
О
Образование-и-коммуникации
yanaantonova0
yanaantonova0
17.06.2022 05:39 •  Алгебра

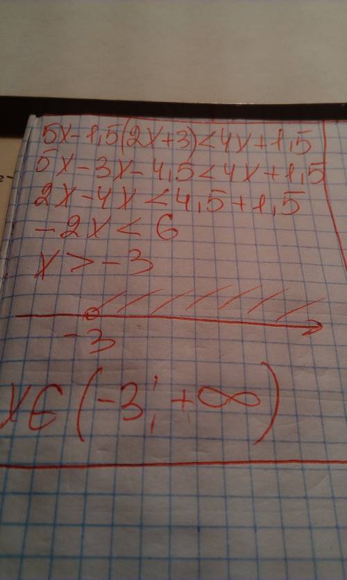
Решите неравенство: 5х - 1,5 (2х + 3) < 4х + 1,5.

👇
Ответ:
ksu1371
ksu1371
17.06.2022
Решение смотри на фотографии
Решите неравенство: 5х - 1,5 (2х + 3) < 4х + 1,5.
4,6(58 оценок)
Открыть все ответы
Ответ:
Rustem1112
Rustem1112
17.06.2022

x ≓ 2.039377302

Объяснение:

ШАГ

1

:

Уравнение в конце шага 1

 (((x3) +  22x2) -  3x) -  19  = 0  

ШАГ

2

:

Проверка идеального куба

2.1    x3+4x2-3x-19  не идеальный куб

Пытаясь учесть фактор, вытащив:

2.2      Факторинг:  x3+4x2-3x-19  

Вдумчиво разделите данное выражение на группы, в каждой группе будет два термина:

Группа 1: -3x-19  

Группа 2:  x3+4x2  

Вытяните из каждой группы отдельно:

Группа 1:  (3x+19) • (-1)

Группа 2:   (x+4) • (x2)

Плохие новости Найденное приближение - Среднее

Следуйте средним движениям, чтобы понять, как это работает:

   Левое значение (слева) Правое значение (справа)

2,000000000   -1,000000000   3,000000000   +35,000000000  

0,000000000 -19,000000000   3,000000000   +35,000000000  

1,500000000 -11,125000000   3,000000000   +35,000000000  

1,500000000 -11,125000000   2,250000000    5,890625000  

1,875000000   -3,970703125   2,250000000    5,890625000  

1,875000000   -3,970703125   2,062500000    0,601806641  

1,968750000   -1,771514893   2,062500000    0,601806641  

2,015625000   -0,606929779   2,062500000    0,601806641

2,039062500   -0,008119106   2,062500000    0,601806641  

2,039062500   -0,008119106   2,050781250    0,295449555  

2,039062500   -0,008119106   2,044921875    0,143317275  

2,039062500   -0,008119106   2,041992188    0,067512172  

2,039062500   -0,008119106   2,040527344    0,029674814  

2,039062500   -0,008119106   2,039794922    0,010772426  

2,039062500   -0,008119106   2,039428711    0,001325303  

2,039245605   -0,003397241   2,039428711   0,001325303  

2,039337158   -0,001036054   2,039428711    0,001325303  

2,039337158   -0,001036054   2,039382935    0,000144603  

2,039360046   -0,000445731   2,039382935    0,000144603  

2,039371490   -0,000150565   2,039382935    0,000144603  

2,039377213   -0,000002981   2,039382935    0,000144603  

2,039377213   -0,000002981   2,039380074    0,000070811  

2,039377213   -0,000002981   2,039378643    0,000033915  

2,039377213   -0,000002981   2,039377928   0,000015467  

2,039377213   -0,000002981   2,039377570    0,000006243

    Следующая Средняя приблизит нас к нулю:

    F (  2.039377302 ) является -0.000000675  

    Желаемое приближение решения:

      x ≓ 2.039377302

    Обратите внимание: ≓ - это символ приближения.

4,6(19 оценок)
Ответ:
egor911777
egor911777
17.06.2022

а) 0,5

б) 2,1

Попробую объяснить

/ - знак дроби; первая цифра - числитель; вторая цифра - знаменатель

а)

1. запиши деление в виде дроби (9/16)

2. теперь нужно вычислить квадратный корень; 2•3/4-1

3. нужно сократить числа на наибольший общий знаменатель, в нашем случае это 2; 2 и 4 мы зачёркиваем, должно получиться 3/2-1

4. дальше вычислить разность; 3/2-1/1="общий делитель 2, доумножаем"3-2/2=1/2=0,5

б)

1.1 преобразовать десятичную дробь в обыкновенную; 0,5 меняем на 1/2

1.2. снова преобразовываем; 0,04 меняем на 1/25

2. записать деление в виде дроби; 1÷6 меняем на 1/6

3. вычисляем квадратный корень 144, это 12, вместо 144 пишем 12 без корня

4. сокращаем числа на наибольший делитель 6, 12 и 6 зачёркиваем, должно получится просто 2

5. вычисляем квадратный корень 1/25, это 1/5, пишем 1/5 без корня

должно получится 1/2•1/5+2

6. умножаем дроби 1/2 и 1/5, получается 1/10+2

7. вычисляем сумму 1/10+2="общий знаменатель 10, доумножаем" получается 21/10=2,1

P.S. да, я плохо объясняю

4,4(99 оценок)
Новые ответы от MOGZ: Алгебра
logo
Вход Регистрация
Что ты хочешь узнать?
Спроси Mozg
Открыть лучший ответ