М
Молодежь
К
Компьютеры-и-электроника
Д
Дом-и-сад
С
Стиль-и-уход-за-собой
П
Праздники-и-традиции
Т
Транспорт
П
Путешествия
С
Семейная-жизнь
Ф
Философия-и-религия
Б
Без категории
М
Мир-работы
Х
Хобби-и-рукоделие
И
Искусство-и-развлечения
В
Взаимоотношения
З
Здоровье
К
Кулинария-и-гостеприимство
Ф
Финансы-и-бизнес
П
Питомцы-и-животные
О
Образование
О
Образование-и-коммуникации
Masha8271
Masha8271
20.04.2022 20:38 •  Алгебра

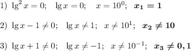
Решить неравенство 5lg^2x-1/lg^2x-1> =1

👇
Ответ:
Fltkbyf2017
Fltkbyf2017
20.04.2022

x > 0

\dfrac{5\lg^2x-1}{\lg^2x-1}\geq 1;~~~~~~~\dfrac{5\lg^2x-1}{\lg^2x-1}- 1\geq 0\\\\\\\dfrac{5\lg^2x-1-\lg^2x+1}{\lg^2x-1}\geq 0\\\\\\\boldsymbol{\dfrac{4\lg^2x}{(\lg x-1)(\lg x+1)}\geq 0}

Метод интервалов

1)~\lg^2x= 0;~~\lg x=0;~~~x=10^0;~~\boldsymbol{x_1=1}\\\\2)~\lg x-1\neq 0;~~\lg x\neq1;~~x\neq10^1;~~\boldsymbol{x_2\neq10}\\\\3)~\lg x+1\neq 0;~~\lg x\neq-1;~~x\neq10^{-1};~~\boldsymbol{x_3\neq0,1}

(0) ++++ (0,1) ---- [1] ---- (10) ++++ x

ответ :  x ∈ (0; 0,1) ∪ {1} ∪ (10; +∞)

4,4(3 оценок)
Открыть все ответы
Ответ:
sashasokolik
sashasokolik
20.04.2022
Допустим, что скорость первого велосипедиста = х км/ч,

Поскольку по условию задания скорость одного на 3 км/ч больше скорости другого, значит скорость другого велосипедиста = х-3   км/ч

Время в пути велосипедистов = расстояние между селами / скорость велосипедистов, значит

36/х - время в пути первого велосипедиста

36/ (х-3) - время в пути второго велосипедиста

По условию задания расстояние между селами один велосипедист преодолевает на 1 час быстрее другого.Поэтому выходит, что первый велосипедист тратит на 1 час меньше нежели второй на преодоление расстояния между селами
А значит
36/х  +1 =  36/ (х-3)

36/х  - 36/ (х-3)=-1

(36*(х-3))/(х*(х-3))  - (36*х)/(х*(х-3))=-1

(36х-108)/(х*(х-3))  - (36х)/(х*(х-3))=-1

(36х-108 - 36х)/(х*(х-3))=-1

-108=-(х*(х-3))

108=х²-3х

х²-3х-108=0

Теперь  решим квадратное уравнение

Выпишем коэффициенты квадратного уравнения: 
a = 1,

 b = − 3, 

c = − 108.

Найдем дискриминант по формуле D = b² − 4ac:

D = b² − 4ac = (− 3)² − 4 * 1 * (− 108) = 9 + 432 = 441


Корни уравнения находятся по формулам

x1 =(− b + √D)/2a,  
 x2 =(− b − √D)/2a:

x1 =(-(-3) + √441)/ (2*1)=(3 + 21)/2=24/2=12

x2 =(-(-3) -√441)/ (2*1)=(3 - 21)/2=-18/2=−9, но скорость не можеть быть со знаком минус.

Поэтому 
скорость первого велосипедиста = х км/ч = 12 км/ч,

скорость другого велосипедиста = х-3   км/ч = 12-3=9 км/ч

ответ: скорость первого велосипедиста = 12 км/ч, скорость другого велосипедиста =9 км/ч
4,4(71 оценок)
Ответ:
sergazinaaidana
sergazinaaidana
20.04.2022
Y=-3x²+2x-4   при х=0 y=-4   корней нет поскольку дискриминант = b²-4ac=-44< 0 - парабола лежит под осью х. y'=-6x+2   -6x+2=0   6x=2   x=1/3   x∈(-∞; 1/3) y'> 0 возрастает                                                       x∈(1/3; ∞)   убывает в точке х=1/3 максимум у=-3*1/9+2/3-4=-3 1/3 область определения r, ни   четная ни нечетная. y''=-6   точек перегиба нет, выпукла вверх.
4,5(40 оценок)
Это интересно:
Новые ответы от MOGZ: Алгебра
logo
Вход Регистрация
Что ты хочешь узнать?
Спроси Mozg
Открыть лучший ответ