М
Молодежь
К
Компьютеры-и-электроника
Д
Дом-и-сад
С
Стиль-и-уход-за-собой
П
Праздники-и-традиции
Т
Транспорт
П
Путешествия
С
Семейная-жизнь
Ф
Философия-и-религия
Б
Без категории
М
Мир-работы
Х
Хобби-и-рукоделие
И
Искусство-и-развлечения
В
Взаимоотношения
З
Здоровье
К
Кулинария-и-гостеприимство
Ф
Финансы-и-бизнес
П
Питомцы-и-животные
О
Образование
О
Образование-и-коммуникации
WildOwlXD
WildOwlXD
18.11.2022 00:26 •  Алгебра

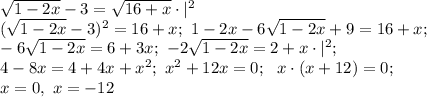
(иррац. ур. корень(1-2х)-3=корень(16+х)

👇
Ответ:
YanaDovgik
YanaDovgik
18.11.2022
ОДЗ:1-2x \geq 0; \ 2x \leq 1; \ x \leq \frac{1}{2} \\ x+16 \geq 0; x \geq -16. \ \ \ \ -16 \leq x \leq \frac{1}{2}

\sqrt{1-2x}-3= \sqrt{16+x} \cdot |^{2} \\ ( \sqrt{1-2x}-3)^{2}=16+x; \ 1-2x -6\sqrt{1-2x}+9=16+x; \\ -6\sqrt{1-2x}=6+3x; \ -2\sqrt{1-2x}=2+x \cdot |^{2}; \\ 4-8x=4+4x+x^{2}; \ x^{2}+12x=0; \ \ x \cdot (x+12)=0; \\ x=0, \ x=-12

ответ: x=-12, x=0
4,4(94 оценок)
Ответ:
 √(1 - 2x) =  √(16 + x) + 3
ОДЗ
x <= 0,5
x >= -16

1 - 2x = 16 + x + 6 √(16+x) + 9
-3x - 24 = 6 √(16+x)
-0,5x - 4 =  √(16+x)
0,25x^2 + 4 x + 16 = 16 + x
0,25x^2 + 3x = 0
0,25x(x + 12)=0
x=0
x=-12
ответ: 0 и -12.
4,7(41 оценок)
Открыть все ответы
Ответ:
blacktop57
blacktop57
18.11.2022
Дана квадратичная функция h(t)=24t−4t², графиком которой является парабола, ветви которой направлены вниз. Функция своего наибольшего значения достигает в вершине параболы.Чтобы определить максимальную высоту, надо найти координату  Y  вершины (в данном задании это h).Чтобы определить время, в течение которого мяч летит вверх, надо найти координату X вершины (в данном задании это t). Все время полета мяча будет в 2 раза больше.x₀=t₀=(−b)/2а =−24  /2(-4) = 3 секунды. Время, через которое мяч упадет на землю, равно 2⋅t₀=2⋅3=6 секунд.y₀=h₀= 24⋅3-4⋅3²=72-36=36  метров.

 
4,5(63 оценок)
Ответ:
janaljubche
janaljubche
18.11.2022

Дана квадратичная функция h(t)=24t−4t², графиком которой является парабола, ветви которой направлены вниз. Функция своего наибольшего значения достигает в вершине параболы.Чтобы определить максимальную высоту, надо найти координату  Y  вершины (в данном задании это h).Чтобы определить время, в течение которого мяч летит вверх, надо найти координату X вершины (в данном задании это t). Все время полета мяча будет в 2 раза больше.x₀=t₀=(−b)/2а =−24  /2(-4) = 3 секунды. Время, через которое мяч упадет на землю, равно 2⋅t₀=2⋅3=6 секунд.y₀=h₀= 24⋅3-4⋅3²=72-36=36  метров.

Объяснение:

4,8(72 оценок)
Новые ответы от MOGZ: Алгебра
logo
Вход Регистрация
Что ты хочешь узнать?
Спроси Mozg
Открыть лучший ответ