М
Молодежь
К
Компьютеры-и-электроника
Д
Дом-и-сад
С
Стиль-и-уход-за-собой
П
Праздники-и-традиции
Т
Транспорт
П
Путешествия
С
Семейная-жизнь
Ф
Философия-и-религия
Б
Без категории
М
Мир-работы
Х
Хобби-и-рукоделие
И
Искусство-и-развлечения
В
Взаимоотношения
З
Здоровье
К
Кулинария-и-гостеприимство
Ф
Финансы-и-бизнес
П
Питомцы-и-животные
О
Образование
О
Образование-и-коммуникации
graincop
graincop
29.09.2022 11:51 •  Алгебра

Розложите на множители: 1)x^6-y^9 2) 1000a^12b^3+0.001c^9b^15

👇
Ответ:
Moew
Moew
29.09.2022
1)~x^6-y^9=(x^3+y^{4,5})(x^3-y^{4,5}) \\ 2)~1000a^{12}b^3+0,001c^9d^{15}=10^3a^{12}b^3+10^{-3}c^9d^{15}= \\ =10^{-3}(10^6a^{12}b^3+c^9d^{15})
4,6(4 оценок)
Ответ:
dhrgdh
dhrgdh
29.09.2022
1) x^{6} -y ^{9} = (x^{3} ) ^{2} -(y ^{4.5} ) ^{2} = \\ \\ =( x^{3} -y ^{4.5} )( x^{3} +y ^{4.5})

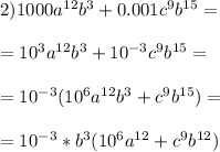
2)1000a ^{12} b ^{3} +0.001c ^{9} b ^{15} = \\ \\=10 ^{3} a ^{12} b ^{3} +10 ^{-3} c ^{9} b ^{15} = \\ \\ =10 ^{-3} (10 ^{6} a ^{12} b ^{3} +c ^{9} b ^{15} )= \\ \\ =10 ^{-3}*b ^{3} (10 ^{6} a ^{12} +c ^{9} b ^{12} )
4,8(26 оценок)
Открыть все ответы
Ответ:
1Серж1111111111
1Серж1111111111
29.09.2022
Общее положение  для двух отвотов. вычислим соотношение прибыль - убыль при 9 играх, а потом через ожидаемый результат вичислим к-во игр. нужно также осознавать то, что у нас нет зависимости от уже сыграных игр и наличия выигранных денег.

1                                                2
(9-6)*0,86=3*0,86=2,58          (9-5)*0,86=4*0,86=3,44
50:(2,58/9)=174,42⇒175       50:(3,44/9)=130,81⇒131

округления приводим в большую сторону т.к. игры должны быить целым числом.
учитывая тот факт, что мы не знаем точно какая именно игра у нас удачная а тоько их соотношение лучше будет узнать сколько партий по 9 игр нужно сыграть, чтобы быть точно уваренным в ожидаемом выиграше:

1
{50/2,58}*9={19.4}*9=20*9=180

2
{50/3,44}*9={14.5}*9=15*9=135
4,6(42 оценок)
Ответ:
KrASaVa307
KrASaVa307
29.09.2022
V - знак квадратного корня
V(5x+7) - V(x+4) =4x+3
ОДЗ:
{5x+7>=0
{x+4>=0

{5x>= -7
{x>= -4

{x>=-7/5
{x>= -4

Чтобы избавиться от рациональности, возведем все члены уравнения в квадрат, но для этого правая часть уравнения должна быть положительной: 4x+3>=0; x>= -3/4
У нас получилась следующая ОДЗ:
{x>= -7/5
{x>= -4
{x>= -3/4
Решением этой системы будет промежуток: [-3/4; + бесконечность)
Итак, возводим в квадрат:
(5x+7)^2 - (x+4)^2 = (4x+3)^2
25x^2+70x+49-x^2-8x-16=16x^2+24x+9
24x^2+62x+33= 16x^2+24x+9
24x^2+62x+33-16x^2-24x-9=0
8x^2+38x+24=0 |:2
4x^2+19x+12=0
D= 19^2-4*4*12=169
x1=(-19-13)/8=-4  - это посторонний корень, т.к. не входит в промежуток [-3/4; + беск.)
x2=(-19+13)/8= -3/4
Получается, что уравнение имеет один корень => k=1
Корень x=-3/4 принадлежит интервалу (-1;0), значит q=-3/4
Решим уравнение 5k+4q= 5*1+4*(-3/4)=5-3=2
ответ:2
4,6(51 оценок)
Это интересно:
Новые ответы от MOGZ: Алгебра
logo
Вход Регистрация
Что ты хочешь узнать?
Спроси Mozg
Открыть лучший ответ