М
Молодежь
К
Компьютеры-и-электроника
Д
Дом-и-сад
С
Стиль-и-уход-за-собой
П
Праздники-и-традиции
Т
Транспорт
П
Путешествия
С
Семейная-жизнь
Ф
Философия-и-религия
Б
Без категории
М
Мир-работы
Х
Хобби-и-рукоделие
И
Искусство-и-развлечения
В
Взаимоотношения
З
Здоровье
К
Кулинария-и-гостеприимство
Ф
Финансы-и-бизнес
П
Питомцы-и-животные
О
Образование
О
Образование-и-коммуникации
kapysta123
kapysta123
16.07.2022 15:55 •  Алгебра

Решите через дискриминант, решение обязательно

👇
Ответ:
AdamAndEva
AdamAndEva
16.07.2022

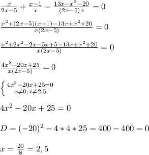
\frac{x}{2x-5}+\frac{x-1}{x}-\frac{13x-x^{2}-20 }{(2x-5)x}=0\\\\\frac{x^{2}+(2x-5)(x-1)-13x+x^{2}+20}{x(2x-5)} =0\\\\\frac{x^{2}+2x^{2}-2x-5x+5-13x+x^{2}+20}{x(2x-5)}=0\\\\\frac{4x^{2}-20x+25 }{x(2x-5)}=0\\\\\left \{ {{4x^{2}-20x+25=0 } \atop {x\neq 0;x\neq2,5 }} \right.\\\\4x^{2}-20x+25=0\\\\D=(-20)^{2}-4*4*25=400- 400=0\\\\x=\frac{20}{8}=2,5

x = 2,5 - не удовлетворяет области допустимых значений

ответ :  решений нет

4,4(32 оценок)
Открыть все ответы
Ответ:
mokovanins
mokovanins
16.07.2022
1) Смотри на картинке у=-2х+1
a)наименьшее и наибольшее значение функции на отрезке[-1;2]
наибольшее  - при х=-1 у=-2*(-1)+1=2+1=3
наименьшее - при х=2 у=-2*2+1=-4+1=-3
b)обозначите переменной х,при которых графич.функций расположены на оси Ох
это х=0,5
2)Найдите координаты точки пересечения y=3-x,y=2x
Решим систему уравнений:
\left \{ {{y=3-x} \atop {y=2x}} \right. ,3-x=2x, 3x=3, x=1, y=2
3)a)Задайте линейную функцию y=kx,если известно,что ее график параллелен прямой -3x+y-4=0
y=3x
b)Определите,возрастает или убывает заданная вами линейная функция
возрастает, т.к. k>0
Решите,. 1)постройте график линейной функции y=-2x+1 c графика найдите: a)наименьшее и наибольшее зн
4,6(55 оценок)
Ответ:
romanres7ov
romanres7ov
16.07.2022
Пусть скорость второго лыжника x ( км/ч), скорость первого ( x + 3) км/ч - по условию.Расстояние - 30 (км).Находим время первого - 30/(x + 3), второго - 30/x.
Переводим 20 мин. - это 1/3 часа.
Чем больше скорость,чем меньше время,значит,
30/x - 30/( x + 3) = 1/3
(30x + 90 - 30x) / x( x + 3) = 1/3
90/(x² + 3x) = 1/3
x² + 3x - 270 =0
D = b² - 4ac =9 + 1080 = 1089 = 33²
x1= ( - 3 + 33) / 2 = 15
x2 = ( - 3 - 33) / 2 = - 18 - меньше 0-не походит.
Значит,скорость второго лыжника - 15 км/ч
скорость первого 18 км/ч
ответ: 15 км/ч, 18 км/ч
4,6(25 оценок)
Это интересно:
logo
Вход Регистрация
Что ты хочешь узнать?
Спроси Mozg
Открыть лучший ответ