М
Молодежь
К
Компьютеры-и-электроника
Д
Дом-и-сад
С
Стиль-и-уход-за-собой
П
Праздники-и-традиции
Т
Транспорт
П
Путешествия
С
Семейная-жизнь
Ф
Философия-и-религия
Б
Без категории
М
Мир-работы
Х
Хобби-и-рукоделие
И
Искусство-и-развлечения
В
Взаимоотношения
З
Здоровье
К
Кулинария-и-гостеприимство
Ф
Финансы-и-бизнес
П
Питомцы-и-животные
О
Образование
О
Образование-и-коммуникации
polina1347
polina1347
18.05.2021 13:57 •  Алгебра

Сократите дроби: a^3 - b^3/a^4 - b^4

👇
Ответ:
dancevera2017
dancevera2017
18.05.2021
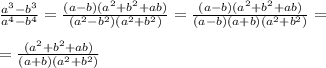
\frac{a ^{3} -b ^{3} }{a ^{4} -b ^{4} } = \frac{(a-b)(a ^{2} +b ^{2} +ab)}{(a ^{2} -b ^{2} )(a ^{2} +b ^{2} )} =\frac{(a-b)(a ^{2} +b ^{2} +ab)}{(a-b)(a+b)(a ^{2} +b ^{2} )} = \\ \\ =\frac{(a ^{2} +b ^{2} +ab)}{(a+b)(a ^{2} +b ^{2} )}
4,5(79 оценок)
Открыть все ответы
Ответ:
tatanavolosnova1
tatanavolosnova1
18.05.2021

y = x^5 - 5x^4 +3

y' = 5x^4 - 20x^3 = 5x^3*(x -4)=0

x=0, x=4 - Точки - кандидаты в экстремумы.

y'' = 20x^3 - 60x^2 = 20x^2(x-1)=0

x=0,   x=1 кандидаты на точки перегиба

y''>0 , если x>1  - функция вогнутая

y''<0, если x<1  - функция выпуклая.

Вот только теперь с точкой х=0 стало более-менее понятно. В этой точке функция выпукла, значит это точка максимума.

С х=4 тоже понятно, в ней функция вогнута, значит это точка минимума

 

ответ

х=0 точка максимума

х=4 точка минимума

 

ну и 

х=1 - точка перегиба 

 

Вот и всё. Почему так длинно? К сожалению, попалась точка(х=0) которая не определяется только через 1 производную, нужно было проводить дополнительные исследования. 

 

Успехов!

4,4(20 оценок)
Ответ:

Пусть расстояние от города А до города В 1 (единица), х (ч) время за которое мотоциклист проехал расстояние от города А до города В, тогда по условию: х+3 (ч) время за которое пешеход от города А до города В (т.к. он вышел на 1 час раньше мотоциклиста из города А, но пришёл позже на 2 часа в город В. 1+2=3 (ч) разница) ,  3-х (ч) время которое велосипедист был в пути, пока не начал движение мотоциклист из города А. Следовательно:

1÷х=1/х (рас/ч) скорость мотоциклиста.

1÷(х+30)=1/(х+3) (рас/ч) скорость пешехода.

(1/х)-(1/(х+3))=(х+3-х)/(х(х+3))=3/(х(х+3)) (рас/ч) скорость сближения мотоциклиста с пешеходом.

1*(1/(х+3))=1/(х+3) (км пешеход, пока не начал движение мотоциклист. (т.е. это расстояние между пешеходом и мотоциклистом, когда мотоциклист начал движение.)

1/(х+3)÷(3/(х(х+3))=1/(х+3)*(х(х+3))/3=х/3 (ч) время за которое мотоциклист проехал до встречи с пешеходом и велосипедистом.

(х/3)*(1/х)=1/3 (рас) от города А, где произошла встреча . (т.е. на расстоянии 1/3 от города А произошла встреча мотоциклиста с пешеходом и велосипедистом.)

1-(1/3)=2/3 (рас) проехал велосипедист от города В до встречи с пешеходом и мотоциклистом.

(3-х)+(х/3)=(9-3х+х)/3=(9-2х)/3 (ч) время, за которое велосипедист от города В проехал 2/3 пути до встречи.

((9-2х)/3)÷(2/3)=(9-2х)/2=4,5-х (ч) время, за которое велосипедист проехал весь путь, от города В до города А.

(4,5-х)-(3-х)=4,5-х-3+х=1,5 (ч). Через 1,5 часа после выезда мотоциклиста, велосипедист прибыл в город А.

Задача решена.

ответ: через 1,5 часа.

4,4(47 оценок)
Это интересно:
Новые ответы от MOGZ: Алгебра
logo
Вход Регистрация
Что ты хочешь узнать?
Спроси Mozg
Открыть лучший ответ