М
Молодежь
К
Компьютеры-и-электроника
Д
Дом-и-сад
С
Стиль-и-уход-за-собой
П
Праздники-и-традиции
Т
Транспорт
П
Путешествия
С
Семейная-жизнь
Ф
Философия-и-религия
Б
Без категории
М
Мир-работы
Х
Хобби-и-рукоделие
И
Искусство-и-развлечения
В
Взаимоотношения
З
Здоровье
К
Кулинария-и-гостеприимство
Ф
Финансы-и-бизнес
П
Питомцы-и-животные
О
Образование
О
Образование-и-коммуникации
Alexandra0903
Alexandra0903
21.09.2020 14:11 •  Алгебра

Доведіть, що коли додатні числа a, b i c- три послідовні числа арифметичної прогресії, то

👇
Ответ:
almazbekovash34
almazbekovash34
21.09.2020
Так як a,b і c - три послідовні числа арифметичної прогресії,
нехай
d- різниця арифметичної прогресіїї, тоді
b=a+d;c=b+d

d=b-a;d=c-b;d+d=b-a+c-b;2d=c-a;d=\frac{c-a}{2}

x^2-y^2=(x-y)(x+y)

(\sqrt{x})^2=x
------------------
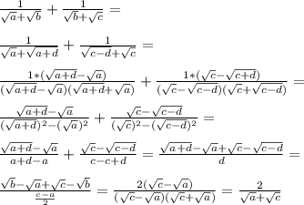
\frac{1}{\sqrt{a}+\sqrt{b}}+\frac{1}{\sqrt{b}+\sqrt{c}}=\\\\\frac{1}{\sqrt{a}+\sqrt{a+d}}+\frac{1}{\sqrt{c-d}+\sqrt{c}}=\\\\\frac{1*(\sqrt{a+d}-\sqrt{a})}{(\sqrt{a+d}-\sqrt{a})(\sqrt{a+d}+\sqrt{a})}+\frac{1*(\sqrt{c}-\sqrt{c+d})}{(\sqrt{c}-\sqrt{c-d})(\sqrt{c}+\sqrt{c-d})}=\\\\\frac{\sqrt{a+d}-\sqrt{a}}{(\sqrt{a+d})^2-(\sqrt{a})^2}+\frac{\sqrt{c}-\sqrt{c-d}}{(\sqrt{c})^2-(\sqrt{c-d})^2}=\\\\\frac{\sqrt{a+d}-\sqrt{a}}{a+d-a}+\frac{\sqrt{c}-\sqrt{c-d}}{c-c+d}=\frac{\sqrt{a+d}-\sqrt{a}+\sqrt{c}-\sqrt{c-d}}{d}=\\\\\frac{\sqrt{b}-\sqrt{a}+\sqrt{c}-\sqrt{b}}{\frac{c-a}{2}}=\frac{2(\sqrt{c}-\sqrt{a})}{(\sqrt{c}-\sqrt{a})(\sqrt{c}+\sqrt{a})}=\frac{2}{\sqrt{a}+\sqrt{c}}
доведено
4,8(89 оценок)
Открыть все ответы
Ответ:
nifirazifira
nifirazifira
21.09.2020

Стоит уточнить — такой текст обязательно рассказывает о проведенных автором исследованиях и полученных выводах. В этом заключается существенная разница между обобщенным описанием к статье и книге. Для последней краткий текст составляют, делая упор на тему, и сжато передавая основные положения.

Благодаря такой вступительной части читатель сразу может понять, интересна ли ему публикация, будет ли она полезной и существенной. Правильно написанная аннотация обобщает материал и в сжатой форме представляет его читательской аудитории, что особенно важно при составлении библиографического списка и поиске литературных источников. Наличие в тексте ключевых слов необходимо для использования их поисковыми системами в соответствии с определенными за Объяснение:

4,5(53 оценок)
Ответ:
YaShKa111111
YaShKa111111
21.09.2020

б) если рассмотреть равенство: x² + (y+1)² = 4

то график этого уравнения --это окружность с центром в (0; -1) радиуса 2.

уравнение окружности с центром (x₀; y₀) радиуса R: (х-х₀)² + (y-y₀)² = R²

в задании знак неравенства "больше", т.е. это часть плоскости ВНЕ круга, включая границу (окружность)

например: точка (2;-3)

2² + (-3+1)² ≥ 4 верно...

а) неравенство с модулем со знаком "меньше" равносильно двойному неравенству: -2 < y-x-1 < 2 (прибавим 1)

-1 < y-x < 3

двойное неравенство равносильно системе неравенств (пересечению промежутков):

{y-x<3

{y-x>-1

или 

{ y < x+3 (часть плоскости НИЖЕ (знак "<") прямой у=х+3)

{ y > x-1 (часть плоскости ВЫШЕ (знак ">") прямой у=x-1) 

это полоса между параллельными прямыми...

и всегда можно проверить...

например, точка (2;-1) не принадлежит этому множеству... 

|-1-2-1| < 2 неверно 

точка (0;0) принадлежит этому множеству... 

|0-0-1| < 2 верно

4,7(24 оценок)
Это интересно:
logo
Вход Регистрация
Что ты хочешь узнать?
Спроси Mozg
Открыть лучший ответ