М
Молодежь
К
Компьютеры-и-электроника
Д
Дом-и-сад
С
Стиль-и-уход-за-собой
П
Праздники-и-традиции
Т
Транспорт
П
Путешествия
С
Семейная-жизнь
Ф
Философия-и-религия
Б
Без категории
М
Мир-работы
Х
Хобби-и-рукоделие
И
Искусство-и-развлечения
В
Взаимоотношения
З
Здоровье
К
Кулинария-и-гостеприимство
Ф
Финансы-и-бизнес
П
Питомцы-и-животные
О
Образование
О
Образование-и-коммуникации
kositskaya80
kositskaya80
10.08.2022 00:04 •  Алгебра

А)даны четыре последовательных члена последовательности. сумма двух крайних членов ровна 13, двух средних равна 4. определите эти члены б)даны три последовательных члена прогрессии. их сумма ровна 19, а сумма их квадратов равна 133. определите эти члены.

👇
Ответ:
Мнмтшоеа
Мнмтшоеа
10.08.2022
А) Четыре последовательных члена геометрической прогрессии:
b, bq, bq², bq³.
\left \{ {{b+bq^3=13} \atop {bq+bq^2=4}} \right. \\ \left \{ {{b(1+q^3)=13} \atop {bq(1+q)=4}} \right.
\left \{ {{bq(1+q)=4}} \atop {\frac{1-q+q^2}{q}=\frac{13}{4}}} \right.
\left \{ {{b=\frac{4}{q(1+q)}}} \atop {4-4q+4q^2=13q}}} \right. \\ \left \{ {{4q^2-17q+4=0}}} \atop {b=\frac{4}{q(1+q)}}} \right.
4q² - 17q + 4 = 0
D = 289 - 64 = 225
q = 1/4 или 4
Если q = 1/4, тогда b_{1}= \frac{4}{ \frac{1}{4}*(1+\frac{1}{4})}= \frac{64}{5},b_{2}=\frac{16}{5},b_{3}=\frac{4}{5},b_{4}=\frac{1}{5}.
Если q = 4, тогда b_{1}= \frac{4}{4*(1+4)}=\frac{1}{5}, b_{2}=\frac{4}{5}, b_{3}=\frac{16}{5}, b_{4}=\frac{64}{5}.
Т.е. в обоих случаях члены прогрессии: 1/5, 4/5, 16/5, 64/5.

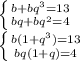
б) Три последовательных члена геометрической прогрессии: b, bq, bq².
\left \{ {{b+bq+bq^2=19} \atop {b^2+b^2q^2+b^2q^4=133}} \right. \\ \left \{ {{b(1+q+q^2)=19} \atop {b^2(1+q^2+q^4)=133}} \right.
\left \{ {{b^2(1+q+q^2)^2=361} \atop {b^2(1+q^2+q^4)=133}} \right. \\ \left \{ {{b^2(1+q^2+q^4+2q+2q^2+2q^3)=361} \atop {b^2(1+q^2+q^4)=133}} \right.
\left \{ {{b(1+q+q^2)=19} \atop {2b^2q(1+q+q^2)=228}} \right. \\ \left \{ {{b(1+q+q^2)=19} \atop {bq=6}} \right.
\left \{ {{b= \frac{6}{q} } \atop {\frac{6}{q}(1+q+q^2)=19}} \right. \\ \left \{ {{b= \frac{6}{q} } \atop {6+6q+6q^2=19q}} \right.
6q² - 13q + 6 = 0
D = 169 - 144 = 25
q = 2/3 или 3/2
Если q = 2/3, тогда b_{1}= \frac{6}{\frac{2}{3}}=9, b_{2}=6, b_{3}=4.
Если q = 3/2, тогда b_{1}= \frac{6}{\frac{3}{2}}=4, b_{2}=6, b_{3}=9.
Т.е. в обоих случаях члены прогрессии: 4, 6, 9.
4,7(7 оценок)
Открыть все ответы
Ответ:
InvisibleGuеst
InvisibleGuеst
10.08.2022
3у=Х-8. У= 1/3х -8/3
К1=1/3.

3у =2х -10.
У=2/3х -10/3. К2= 2/3


Графиками будут является прямые , к1 не равно к2 поэтому прямые пересекутся, координаты точки пересечения и будут решением системы.
Для построения прямой достаточно 2 точек.
У=1/3х - 8/3
Пусть Х=0 тогда
У=1/3*0 - 8/3= 8/3=
-2 2/3
А(0;-2 2/3)

Пусть Х=2 тогда
У=1/3*2-8/3= 2/3-2 2/3
= -2. В(2;-2)
Через точки А и В проведи прямую

У=2/3х -10/3
Пусть Х =0 у= - 3 1/3
С(0; -3 1/3)
Х= 1 У=2/3*1 - 3 1/3=
- 2 /2/3
D(1; -2 2/3)
Через точки С и D проведи прямую они пересекутся, из точки пересечения опусти перпендикуляры на оси Х и У это и будет решение.

(Прямые пересекутся в 4 четверти Х=2 у= -2)
4,8(17 оценок)
Ответ:
Misis11
Misis11
10.08.2022
1) а) 2^(x + 2) + 2^x= 5
2^x·2^2 + 2^x = 5
2^x(2^2 +1) = 5
2^x·5=5
2^x = 1
2^x = 2^0
x = 0
б) 9^x -6·3^x -27 =0
(3^x)^2 -6·3^x -27 = 0
3^x=t
t^2 - 6t -27 = 0
t = 9                            t = -3
3^x =9                         3^x = -3 
x = 2                            нет решений
ответ: х = 2
 2) 5^(4x -7) больше 1
     5^(4x - 7) больше 5^0
     4x - 7 больше 0
     4х больше 7
     х больше 7/4  
0,7^x меньше 2 2/49
0,7^x меньше 100/49
0,7^x  меньше (0,7)^-2   (0,7 меньше 1)
x больше -2
II вариант
1) а) (2/9)^(2x +3) = 4,5^(х - 2)
(2/9)^(2x+3)меньше  (9/2)^(x - 2)
(2/9) ^(2x +3) = (2/9)^-(x - 2) 
2x +3 = - (х - 2)
2х + 3 = -х +2
3х больше -1
х = -1/3
б) 4^x -14·2^x -32 =0
(2^x)^2 -14·2^x - 32 = 0
2^x =t
t^2 -14t -32 = 0
t = 16                 t = -2
2^x =16             2^x = -2
x = 4                 нет решения       
ответ: х =4
2)а) 2^(2x -9) меньше 1
2^(2x - 9) меньше 2^0   ( 2 больше 1)
2x - 9 меньше 0
2х меньше 9
х  меньше 4,5
б)0,9^x больше 1 19/81
0,9 ^x больше 100/81
0,9^x больше (81/100)^ - 2
0,9^x больше (0,9)^ -2  (0,9 меньше 1)
x меньше -2
III вариант
1)а) 3 ^(x + 2)  + 3^x = 30
       3^x· 3^2 + 3^x = 30
      3^x( 9 +1) = 30
      3^x ·10 = 30
       3^x = 3
       x = 1 
б)9^x - 2· 3^x =63
   (3^x)^2 -2·3^x = 63
   3^x = t
t^2 -2 t - 63 = 0
t = 9                    t =-7
3^x = 9               3^x = -7
x = 2                   нет решений
ответ: х = 2
2)а) 4^ (0,5x^2 -3 )≥ 8
       2^ (x^2 -6)  ≥ 2^3
       x^2 -6 ≥ 3
       x^2 ≥ 9
x∈(-бесконечность; 3] ∨[3; + бесконечность)
IVвариант
1) а) 5^(х +1) - 3·5^(x - 2) = 122
         5^(x -2) ( 5^3 -3) =122
         5^(x - 2)·122 = 122
         5^(x - 2) = 1
         5^(x - 2) = 5^0
           x - 2 = 0 
           x = 2  
б)4^x -3·2^x =40
   2^2x -3·2^x =40
2^x = t
t^2 -3t -40 = 0
t = 8                t = -5
2^x = 8            2^x = -5
x = 3                нет решения.
ответ: х = 3
2) а) 9^ (0,5x^2 -3) меньше 27
        3^x^2 -6 меньше 3^3
        x^2 - 6 меньше 3
         x^2 меньше 9
х ∈(-3; 3)     
б)(√3)^x меньше 9^-0,5
3^ 1/3x меньше 3^-1(3 больше  1)
1/3x меньше -1
х меньше -3
4,4(54 оценок)
Новые ответы от MOGZ: Алгебра
logo
Вход Регистрация
Что ты хочешь узнать?
Спроси Mozg
Открыть лучший ответ