М
Молодежь
К
Компьютеры-и-электроника
Д
Дом-и-сад
С
Стиль-и-уход-за-собой
П
Праздники-и-традиции
Т
Транспорт
П
Путешествия
С
Семейная-жизнь
Ф
Философия-и-религия
Б
Без категории
М
Мир-работы
Х
Хобби-и-рукоделие
И
Искусство-и-развлечения
В
Взаимоотношения
З
Здоровье
К
Кулинария-и-гостеприимство
Ф
Финансы-и-бизнес
П
Питомцы-и-животные
О
Образование
О
Образование-и-коммуникации
Avmb
Avmb
24.12.2021 13:08 •  Алгебра

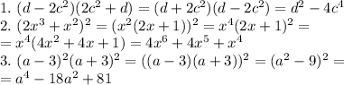
1. (d-2c^2)(2c^2+d) 2. (2x^3+x^2)^2 3. (a-3)^2(a+3)^2 выполните действия

👇
Ответ:
anett16
anett16
24.12.2021
1.\,\,(d-2c^2)(2c^2+d)=(d+2c^2)(d-2c^2)=d^2-4c^4\\2.\,\,(2x^3+x^2)^2=(x^2(2x+1))^2=x^4(2x+1)^2=\\=x^4(4x^2+4x+1)=4x^6+4x^5+x^4\\3.\,\,(a-3)^2(a+3)^2=((a-3)(a+3))^2=(a^2-9)^2=\\=a^4-18a^2+81
4,5(21 оценок)
Открыть все ответы
Ответ:
DeNcHiK123st
DeNcHiK123st
24.12.2021
Для нахождения точек пересечения с осью Х
 x^4-4x^2=0
х1=0; х2=2;  х3=-2;
Для нахождения экстреммумов функции нужно взять производную и прировнять ее 0
f(x)=x^4-4x^2 => f'(x)=4*x^3-8x=0
Корни: х1=0; х2=2^0.5; х3=-2^0.5; (корень квадратный из 2)
теперь нужно узнать, что это за точки минимумы или максимумы, возмем значение слева и справа от точки и подставим в уранение если знак меняется с + на - значит максимум если наоборот минимум
     -2^0.5    0        2^0.5
---*---о*о*---о*--
  -2       -1          1        2

x=0 => y= 0
x=-2^0.5 => y= -4
x=2^0.5  => y= -4

x=-2 => y= 0
x=-1 => y=-3  
x=1 => y=-3
x=2 => y= 0

Значение функции меняется от -2 до -2^0.5 функция убывает от 0 до -4 , а от -2^0.5 до -1 ворастает от -4 до -3 следовательно  f(-2^0.5) минимум.
Значение функции меняется от -1 до 0 функция возрастает от -3 до 0 , а 0 до 1  убывает от 0 до -3 следовательно  f(0) максимум.
Значение функции меняется от 1 до 2^0.5 функция убывает от -3 до -4 , а от 2^0.5 до 2 ворастает от -4 до 0 следовательно  f(2^0.5) минимум.

Исследование завершено
Точки пересечения с осью Х
х1=0; х2=2;  х3=-2;
Минимум
(-2^0.5;-4) и (2^0.5;-4)
Максимум
(0;0)
4,8(46 оценок)
Ответ:
verachistova1
verachistova1
24.12.2021
1) При x≤-1 |1-x|=1-x, |x+1|=-x-1, y=1-x-x-1=-2x.
На отрезке [-2;-1] y принимает значения от y=-2*-2=4 до y=-2*-1=2.
Среди них целыми являются y=2; 3; 4.
2) При -1<x<1 |1-x|=1-x, |x+1|=x+1, y=1-x+x+1=2.
На интервале (-1;1) y принимает одно значение - y=2.
3) При x≥1 |1-x|=x-1, |x+1|=x+1, y=x-1+x+1=2x.
На отрезке [1;3] y принимает значения от y=2*1=2 до y=2*3=6.
Среди них целыми являются y=2; 3; 4; 5; 6.

Итого, целые значения, которые принимает y на отрезке x∈[-2:3] - 2;3;4;5;6.
Их сумма равна (2+6)/2*5=20.
4,8(80 оценок)
Новые ответы от MOGZ: Алгебра
logo
Вход Регистрация
Что ты хочешь узнать?
Спроси Mozg
Открыть лучший ответ