М
Молодежь
К
Компьютеры-и-электроника
Д
Дом-и-сад
С
Стиль-и-уход-за-собой
П
Праздники-и-традиции
Т
Транспорт
П
Путешествия
С
Семейная-жизнь
Ф
Философия-и-религия
Б
Без категории
М
Мир-работы
Х
Хобби-и-рукоделие
И
Искусство-и-развлечения
В
Взаимоотношения
З
Здоровье
К
Кулинария-и-гостеприимство
Ф
Финансы-и-бизнес
П
Питомцы-и-животные
О
Образование
О
Образование-и-коммуникации
aalina760
aalina760
10.05.2023 16:33 •  Алгебра

Номер 584 (1,2) 1) 3x²+10x+3 > 0 (3-x)²(4-x²) 2)(x-1)³ < 0 (5x+10)²(-1-3x) номер 600 принадлежит ли число 10 области значений функции y=√x²-2x+12 ?

👇
Ответ:
bcfujd19
bcfujd19
10.05.2023
\frac{3x^2+10x+3}{(3-x)^2(4-x^2)}\ \textgreater \ 0

ОДЗ:
3-x\neq0\\ -x\neq-3\\ x\neq3\\\\ 4-x^2\neq0\\ -x^2\neq-4\\ x^2\neq4\\ x_1\neq-2\\ x_2\neq2

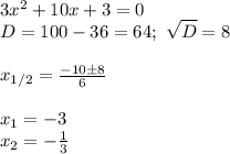
3x^2+10x+3=0\\ D=100-36=64; \ \sqrt{D}=8\\\\ x_{1/2}= \frac{-10\pm8}{6}\\\\ x_1=-3\\ x_2=- \frac{1}{3}

__-__-3__+__-2__-__- \frac{1}{3}__+__2__-__3__-__

ответ: \boxed{x\in (-3;2)\bigcup(- \frac{1}{3};2)}

\frac{(x-1)^3}{(5x+10)^2(-1-3x)}\ \textless \ 0

ОДЗ:
\\ 5x+10\neq0\\ 5x\neq-10\\ 5x\neq-2\\\\ -1-3x\neq0\\ -3x\neq1\\ x\neq- \frac{1}{3}

(x-1)^3=0\\ x-1=0\\ x=1

__-__2__-__- \frac{1}{3}__+__1__-__

ответ:\boxed{x\in(-\infty;-2)\bigcup(-2;- \frac{1}{3})\bigcup(1;+\infty) }
4,7(46 оценок)
Открыть все ответы
Ответ:
Molyaneya
Molyaneya
10.05.2023
Уравнение касательной у - у0 = к(х  - х0)
Надо найти х0,у0 и к, подставить в это уравнение и ...нет проблем.
Начали. х0 = 0
Ищем у0 . Для этого надо в функцию подставить х = 0
у0 = -2/3
Теперь что такое к?
Это производная в точке х0
Ищем производную
Она = (3(3 - х) - (3х -2)·(-1))/(3 - х)² = (9 - 3х +3х -2))/(3 - х)²= 7/( 3 - х)² = 7/3
к = 7/3
Можно уравнение касательной писать:
у +2/3 = 7/3 ( х- 0)
у = 7/3 х -2/3 
2) у = √(х -1)(х -4) = √(х² -5х +4)
Ищем производную.
Она = 1/2√( х² -5х + 4) ·( 2х -5) = (2х -5)/2√(х² - 5х +4) = -5/√4 = -5/2
4,4(24 оценок)
Ответ:
BlaBla1aquamarine
BlaBla1aquamarine
10.05.2023

сопротивление металлических проводников  увеличивается с повышением температуры.

у сопротивление сильно уменьшается при повышении температуры.

 

дано

to=20 c

ro=15 ом

t =100 c

a(альфа) =0,0004 к"-1

dr - ?

 

решение 

 

общая формула для расчета     rt= ro* [ 1 +a*(t-to) ]

dr = rt -ro=   ro* [ 1 +a*(t-to) ] -ro = ro*  [ 1 +a*(t-to) -1] =ro* a*(t-to)

подставим значения из условия

dr = 15 *0,0004*(100-20) = 0.48 = 0.5 ом

 

ответ  0.48 = 0.5 ом

                                                   
4,7(89 оценок)
Это интересно:
Новые ответы от MOGZ: Алгебра
logo
Вход Регистрация
Что ты хочешь узнать?
Спроси Mozg
Открыть лучший ответ