М
Молодежь
К
Компьютеры-и-электроника
Д
Дом-и-сад
С
Стиль-и-уход-за-собой
П
Праздники-и-традиции
Т
Транспорт
П
Путешествия
С
Семейная-жизнь
Ф
Философия-и-религия
Б
Без категории
М
Мир-работы
Х
Хобби-и-рукоделие
И
Искусство-и-развлечения
В
Взаимоотношения
З
Здоровье
К
Кулинария-и-гостеприимство
Ф
Финансы-и-бизнес
П
Питомцы-и-животные
О
Образование
О
Образование-и-коммуникации
Skillet2228
Skillet2228
23.07.2022 02:45 •  Алгебра

Докажите , что каждое из выражений (a+b)(a^3-a^2b+ab^2-b^3) и (a-b)(a^3+a^2b+ab^2+b^3) тождественно равно выражению a^4-b^4.

👇
Ответ:
aigerimnur
aigerimnur
23.07.2022
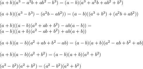
Докажем, что

(a+b)(a^3-a^2b+ab^2-b^3)=(a-b)(a^3+a^2b+ab^2+b^3)\\\\
(a+b)((a^3-b^3)-(a^2b-ab^2))=(a-b)((a^3+b^3)+(a^2b+ab^2))\\\\
(a+b)((a-b)(a^2+ab+b^2)-ab(a-b))=\\(a-b)((a+b)(a^2-ab+b^2)+ab(a+b))\\\\
(a+b)(a-b)(a^2+ab+b^2-ab)=(a-b)(a+b)(a^2-ab+b^2+ab)\\\\
(a+b)(a-b)(a^2+b^2)=(a-b)(a+b)(a^2+b^2)\\\\
(a^2-b^2)(a^2+b^2)=(a^2-b^2)(a^2+b^2)

Теперь докажем, что

(a^2-b^2)(a^2+b^2)=a^4-b^4

(a^2-b^2)(a^2+b^2)=(a^2)^2-(b^2)^2\\\\
(a^2-b^2)(a^2+b^2)=(a^2-b^2)(a^2+b^2)

Если свернуть обе части, то  получим:

a^4-b^4=a^4-b^4
4,5(79 оценок)
Открыть все ответы
Ответ:
Roman07156
Roman07156
23.07.2022
 Задание 1.-1<2/7х<8Умножим все части неравенства на 7/2
-7/2 < x < 56/2
-3,5 < x < 28
ответ. (-3,5; 28)
Задание 2.
   (x+1)(x+2)(x-5)=0.
Произведение двух или нескольких множителей равно нулю тогда и только тогда когда  хотя бы один из множителей равен нулю, а другой при этом не теряет смысла.Все множители линейные, имеют смысл при любом х, поэтому
(x+1)=0    или  (x+2)=0  или  (x-5)=0
х=-1                  х=-2                х=5
ответ. -2 ; -1; 5
Задание 3.
(5x-1)(2x+7)=0
5х-1=0    или    2х+7=0
х=1/5                х=-3,5

ответ. -3,5 ; 1/5
4,7(76 оценок)
Ответ:
HDHDvdvsvvs
HDHDvdvsvvs
23.07.2022

поскольку дан график производной функции, то смотрим, где он ниже оси ох, при таких значениях х функция убывает, поскольку по графику видно, что функция непрерывна в точках пересечения с осью ох, то и точки пересечения можно включать в промежуток убывания, те же значения х, при которых график находится выше оси ох или пересекает эту ось - это промежутки возрастания.

точки х=-7 и х=4 не включаются в ответы по причине того, что они выколоты и не входят в область определения функции.

поэтому функция убывает при х∈[-5.5; -2.5]

и возрастает при х∈(-7; -5.5] и при х∈[-2.5; 4)

Если речь идет о строгом убывании и возрастании, тогда уместен ответ: функция убывает при х∈(-5.5; -2.5) и возрастает при х∈(-7; -5.5) и при х∈(-2.5; 4)

Замечу, что если промежутков возрастания или убывания несколько, то слово или, а также значок объединения ∪ здесь неуместны, нужно ответ подавать либо через запятую, либо с союзом и.

4,8(70 оценок)
Это интересно:
Новые ответы от MOGZ: Алгебра
logo
Вход Регистрация
Что ты хочешь узнать?
Спроси Mozg
Открыть лучший ответ