М
Молодежь
К
Компьютеры-и-электроника
Д
Дом-и-сад
С
Стиль-и-уход-за-собой
П
Праздники-и-традиции
Т
Транспорт
П
Путешествия
С
Семейная-жизнь
Ф
Философия-и-религия
Б
Без категории
М
Мир-работы
Х
Хобби-и-рукоделие
И
Искусство-и-развлечения
В
Взаимоотношения
З
Здоровье
К
Кулинария-и-гостеприимство
Ф
Финансы-и-бизнес
П
Питомцы-и-животные
О
Образование
О
Образование-и-коммуникации
Лиззка1904
Лиззка1904
18.04.2022 00:06 •  Алгебра

Преобразовать в произведение 1-2sina

👇
Ответ:
GromKR
GromKR
18.04.2022
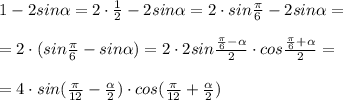
1-2sin \alpha =2\cdot \frac{1}{2}-2sin \alpha =2\cdot sin\frac{\pi}{6}-2sin \alpha =\\\\=2\cdot (sin\frac{\pi}{6}-sin \alpha )=2\cdot 2sin\frac{\frac{\pi}{6}- \alpha }{2}\cdot cos\frac{\frac{\pi}{6}+ \alpha }{2}=\\\\=4\cdot sin(\frac{\pi}{12}-\frac{ \alpha }{2})\cdot cos(\frac{\pi}{12}+ \frac{ \alpha }{2})
4,5(32 оценок)
Открыть все ответы
Ответ:
Данил20010001
Данил20010001
18.04.2022
3 книги засчитаем за одну, тогда число перестановок равно 28(P = 28!). Теперь возвращаемся к трём книгам, их можно переставлять между собой, т.е. количество перестановок равно факториалу трёх (P = 3!). В комбинаторике есть правило произведений, по которому количество перестановок равно факториалу 3 умноженное на факториалу 28(P = 28! · !3)
P = 3!(количество перестановок трёхтомников)
P = 28!(количество перестановок всех книг разных авторов, включая трёхтомников)
P₂₈ · P₃ = 28! · !3(общее количество перестановок)
4,5(13 оценок)
Ответ:
Doshatop
Doshatop
18.04.2022
Два ответа (правая картинка - то, как мы их получили) D=0 у параметрического уравнения для того, чтобы оно имело ровно одно решение.
На левой картинке - графики, жёлтый - при p = -1, красный - при p = 7
Удачи)
.
.
.
А теперь можно вопрос к администрации?
Почему нельзя добавить такую простую опцию, как прикрепление нескольких фото? Почему я должен отдельно сидеть и делать коллажи из фото, вместо того, чтобы нормально прикрепить несколько? Бывают такие вопросы, к которым решения никак на одно листе не уместишь, разве эта проблема не заметна? Мне кажется, это не одного меня бесит

Найдите p и постройте график функции y=x^2+px, если известно ,что прямая y=3x-4 имеет с этим графико
4,7(71 оценок)
Новые ответы от MOGZ: Алгебра
logo
Вход Регистрация
Что ты хочешь узнать?
Спроси Mozg
Открыть лучший ответ