М
Молодежь
К
Компьютеры-и-электроника
Д
Дом-и-сад
С
Стиль-и-уход-за-собой
П
Праздники-и-традиции
Т
Транспорт
П
Путешествия
С
Семейная-жизнь
Ф
Философия-и-религия
Б
Без категории
М
Мир-работы
Х
Хобби-и-рукоделие
И
Искусство-и-развлечения
В
Взаимоотношения
З
Здоровье
К
Кулинария-и-гостеприимство
Ф
Финансы-и-бизнес
П
Питомцы-и-животные
О
Образование
О
Образование-и-коммуникации
валера200331
валера200331
13.09.2021 05:33 •  Алгебра

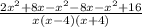
30 ! выражение 2/x-4 -x+8/x^2-16 -1/x с объяснениями !

👇
Ответ:
astasevbogdanp08dn2
astasevbogdanp08dn2
13.09.2021
\frac{2}{(x-4} -\frac{x+8}{(x-4)(x+4)} - \frac{1}{x}
первую дробь умножаем на x(x-4)
вторую на x 
третью на (x-4)(x+4)
\frac{2x^2+8x-x^2-8x-x^2+16}{x(x-4)(x+4)}
\frac{16}{x(x-4)(x+4)}
4,6(20 оценок)
Открыть все ответы
Ответ:
LIZA123456789011
LIZA123456789011
13.09.2021

192

Объяснение:

Чётные цифры: 0, 2, 4, 6, 8.

пятизначные числа не начинаются с 0, значит, на первом месте любая из четырёх цифр: 2, 4, 6, 8 На втором месте цифра 1 или 3, два варианта.

На третьем месте можно написать 0, но нельзя ту цифру, которая на первом месте. Цифры в записи числа не должны повторяться. Значит, четыре варианта для записи второй цифры.

На четвёртом месте цифра 5 или 7 - два варианта.

На пятом месте - чётная цифра, но не такая, как на первом и третьем - три варианта.

На шестом месте цифра 9 - один вариант.

По правилу произведения перемножаем возможные варианты постановки каждой цифры:

4⋅2⋅4⋅2⋅3⋅1=192

ответ: 192

4,6(86 оценок)
Ответ:
natik045
natik045
13.09.2021

192

Объяснение:

Чётные цифры: 0, 2, 4, 6, 8.

пятизначные числа не начинаются с 0, значит, на первом месте любая из четырёх цифр: 2, 4, 6, 8 На втором месте цифра 1 или 3, два варианта.

На третьем месте можно написать 0, но нельзя ту цифру, которая на первом месте. Цифры в записи числа не должны повторяться. Значит, четыре варианта для записи второй цифры.

На четвёртом месте цифра 5 или 7 - два варианта.

На пятом месте - чётная цифра, но не такая, как на первом и третьем - три варианта.

На шестом месте цифра 9 - один вариант.

По правилу произведения перемножаем возможные варианты постановки каждой цифры:

4⋅2⋅4⋅2⋅3⋅1=192

ответ: 192

4,5(90 оценок)
Это интересно:
logo
Вход Регистрация
Что ты хочешь узнать?
Спроси Mozg
Открыть лучший ответ