М
Молодежь
К
Компьютеры-и-электроника
Д
Дом-и-сад
С
Стиль-и-уход-за-собой
П
Праздники-и-традиции
Т
Транспорт
П
Путешествия
С
Семейная-жизнь
Ф
Философия-и-религия
Б
Без категории
М
Мир-работы
Х
Хобби-и-рукоделие
И
Искусство-и-развлечения
В
Взаимоотношения
З
Здоровье
К
Кулинария-и-гостеприимство
Ф
Финансы-и-бизнес
П
Питомцы-и-животные
О
Образование
О
Образование-и-коммуникации
daryaromanchuk
daryaromanchuk
10.04.2023 17:52 •  Алгебра

Решите систему. но не методом подбора. я и так знаю, что ответы 1, -1, 2

👇
Ответ:
Angelina862k
Angelina862k
10.04.2023
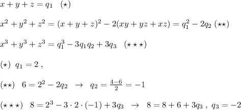
\left\{\begin{array}{ccc}x&+y&+z=2\\x^2&+y^2&+z^2=6\\x^3&+y^3&+z^3=8\end{array}\right

Обозначим:
 
 
 x+y+z=q_1,\; xy+yz+xz=q_2\; ,\; xyz=q_3  

Тогда

x+y+z=q_1\; \; \; (\star )\\\\x^2+y^2+z^2=(x+y+z)^2-2(xy+yz+xz)=q_1^2-2q_2\; (\star \star )\\\\x^3+y^3+z^3=q_1^3-3q_1q_2+3q_3\; \; \; (\star \star \star )\\\\(\star )\; \; q_1=2\; ,\; \; \\\\(\star \star)\; \; \; 6=2^2-2q_2\; \; \to \; \; q_2=\frac{4-6}{2}=-1\\\\(\star \star \star )\; \; \; 8=2^3-3\cdot 2\cdot (-1)+3q_3\; \; \to \; \; 8=8+6+3q_3\; ,\; q_3=-2

Получаем систему уравнений:

\left\{\begin{array}{c}x+y+z=2&xy+yz+xz=-1&xyz=-2\end{array}\right

По теореме Виета для кубического уравнения x³+q₁x²+q₂x+q₃=0 коэффициенты равны
q₁=-(x+y+z) ,  
q₂=xy+yz+xz
q₃=-xyz
Значит, решения последней  системы будут решениями кубического уравнения  u³-2u²-u+2=0 . 
(u³-u)+(-2u²+2)=0
u(u²-1)-2(u²-1)=0
(u²-1)(u-2)=0
(u-1)(u+1)(u-2)=0
u-1=0  ⇒  u=1
u+1=0  ⇒  u=-1  
u-2=0  ⇒  u=2

Значит,  будем иметь 6 решений сиcтемы:
 (1,-1,2) , (1,2,-1) , (-1,1,2) , (-1,2,1) , (2,1,-1) , (2,-1,1) .
4,6(42 оценок)
Открыть все ответы
Ответ:
Milana000000111
Milana000000111
10.04.2023
Пусть первый трактор может вспахать поле за х дней,
а второй трактора за у дней
1/х часть поля вспашет первый трактор за 1 день, ( как скорость)
1/у часть поля вспашет за 1 день второй трактор
По условию первый трактор может вспахать поле на один день скорее, чем второй.
Значит х +1 = у
По условию оба трактора совместно работали 2 дня, а затем оставшуюся часть поля второй трактор вспахал за 0,5 дня.

2(1/х+ 1/у) часть поля вспахали оба трактора за 2 дня
0,5·(1/у) впахал второй трактор за полдня
Эти обе части составляют всё поле, равное 1
2(1/х+1/у)+0,5(1/у)=1
Система уравнений:
\left \{ {{x+1=y} \atop {2( \frac{1}{x}+ \frac{1}{y})+0,5\cdot \frac{1}{y}=1 }} \right.
\left
 \{ {{y=x+1} \atop {2( \frac{1}{x}+ \frac{1}{x+1})+0,5\cdot 
\frac{1}{x+1}=1 }} \right. , \\ \left \{ {{y=x+1} \atop {\frac{2}{x}+ 
\frac{2}{x+1}+\frac{1}{2(x+1)}=1 }} \right, \\ 
{\frac{4(x+1)+4x+x}{2x(x+1)}=1
Дробь равна 1, значит числитель равен знаменателю, знаменатель отличен от нуля по условию х≠0 и у≠0 (1-х)=у и 1-х≠0
   4(x+1)+4x+x= 2x(x+1),
   4+4х+4х+х=2х+2х²,
   2х²-7х-4=0
D=49-4·2(-4)=49+32=81=9²
x=(7-9)/4=-1/2 не удовлетворяет условию задачи, отрицательный корень
или
х=(7+9)/4=4 дня потребуется первому трактору, чтобы вспахать поле
тогда
у=х+1=4+1=5 дней потребуется второму, чтобы вспахать поле
4,4(74 оценок)
Ответ:
marylist2005
marylist2005
10.04.2023
Пусть первый трактор может вспахать поле за х дней,
а второй трактор за у дней
1/х часть поля вспашет первый трактор за 1 день, ( как скорость)
1/у часть поля вспашет за 1 день второй трактор
По условию первый трактор может вспахать поле на один день скорее, чем второй.
Значит х +1 = у
По условию оба трактора совместно работали 2 дня а затем оставшуюся часть поля второй трактор вспахал за 0,5 дня.

2(1/х+ 1/у) часть поля вспахали оба трактора за 2 дня
0,5·(1/у) впахал второй трактор за полдня
Эти обе части составляют всё поле, равное 1
2(1/х+1/у)+0,5(1/у)=1
Система уравнений:
\left \{ {{x+1=y} \atop {2( \frac{1}{x}+ \frac{1}{y})+0,5\cdot \frac{1}{y}=1 }} \right.
\left \{ {{y=x+1} \atop {2( \frac{1}{x}+ \frac{1}{x+1})+0,5\cdot \frac{1}{x+1}=1 }} \right. , \\ \left \{ {{y=x+1} \atop {\frac{2}{x}+ \frac{2}{x+1}+\frac{1}{2(x+1)}=1 }} \right, \\ {\frac{4(x+1)+4x+x}{2x(x+1)}=1
Дробь равна 1, значит числитель равен знаменателю, знаменатель отличен от нуля по условию х≠0 и у≠0 (1-х)=у и 1-х≠0
   4(x+1)+4x+x= 2x(x+1),
   4+4х+4х+х=2х+2х²,
   2х²-7х-4=0
D=49-4·2(-4)=49+32=81=9²
x=(7-9)/4=-1/2 не удовлетворяет условию задачи, отрицательный корень
или
х=(7+9)/4=4 дня потребуется первому трактору, чтобы вспахать поле
тогда
у=х+1=4+1=5 дней потребуется второму, чтобы вспахать поле
4,8(99 оценок)
Это интересно:
Новые ответы от MOGZ: Алгебра
logo
Вход Регистрация
Что ты хочешь узнать?
Спроси Mozg
Открыть лучший ответ