М
Молодежь
К
Компьютеры-и-электроника
Д
Дом-и-сад
С
Стиль-и-уход-за-собой
П
Праздники-и-традиции
Т
Транспорт
П
Путешествия
С
Семейная-жизнь
Ф
Философия-и-религия
Б
Без категории
М
Мир-работы
Х
Хобби-и-рукоделие
И
Искусство-и-развлечения
В
Взаимоотношения
З
Здоровье
К
Кулинария-и-гостеприимство
Ф
Финансы-и-бизнес
П
Питомцы-и-животные
О
Образование
О
Образование-и-коммуникации
sasha2442
sasha2442
24.12.2020 01:16 •  Алгебра

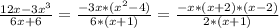
Сократите дробь предварительно разложив её числитель и знаменатель на множители: 12х-3х(в 3 степени)/ 6х+6

👇
Ответ:
salih2
salih2
24.12.2020
\frac{12x-3 x^{3} }{6x+6} = \frac{-3x*( x^{2} -4)}{6*(x+1)} = \frac{-x*(x+2)*(x-2)}{2*(x+1)}
4,7(97 оценок)
Открыть все ответы
Ответ:
NikishK
NikishK
24.12.2020
(3X^2Y)^3 * ( - X^2Y^3)^3 = 27X^6Y^3 * - X^6Y^6 = - 27X^12Y^9 

( - A - 3B)^2 - ( A + 3B)*( 3B + A) = - ( A^2 + 6AB + B^2) - ( A^2 + 9B^2) =
= - A^2 - 6AB - B^2 - A^2 - 9B^2 = - 2A^2 - 6AB - 10B^2 

C^4 - 27C = C * ( C^3 - 27) = C * ( C - 3 ) * ( C^2 + 3C + 9) 

25 - C^2 = ( 5 - C ) * ( 5 + C )

Y = 2X - 2 
Графиком является прямая линия. Для построения достаточны две точки 
Точка С  ( 0 ; - 2 ) и B ( 1 ; 0 )   Соединяем указанные точки. Это и есть график функции Y = 2X - 2 
Проходит ли точка А ( - 10 ; - 20 )  через данный график?
Y = 2X - 2 
- 20 ≠  2 * ( - 10) - 2 
- 20 ≠ - 22 
 Равенство неверное, поэтому данная точка не проходит через указанный график
4,4(46 оценок)
Ответ:
гикник45
гикник45
24.12.2020
Решение задачи с условием, что три последовательных числа - четные. (Ибо сумма любых трех последовательных чисел не кратна 6).

Пусть x (x∈N) - первое из трех последовательных четных чисел, тогда второе и третье равны x+2 и x+4 соответственно.

Запишем сумму
x+x+2+x+4=3x+6=3(x+6)

По признаку делимости, число кратно 6, если оно кратно 2 и 3. 

Очевидно, что 3(x+6) кратно трем, т.к. есть множитель 3. С учетом того, что x - четное число, можно заявить, что x+6 делится на 2, а значит все выражение кратно 6.

Доказано.
4,4(76 оценок)
Это интересно:
Новые ответы от MOGZ: Алгебра
logo
Вход Регистрация
Что ты хочешь узнать?
Спроси Mozg
Открыть лучший ответ