М
Молодежь
К
Компьютеры-и-электроника
Д
Дом-и-сад
С
Стиль-и-уход-за-собой
П
Праздники-и-традиции
Т
Транспорт
П
Путешествия
С
Семейная-жизнь
Ф
Философия-и-религия
Б
Без категории
М
Мир-работы
Х
Хобби-и-рукоделие
И
Искусство-и-развлечения
В
Взаимоотношения
З
Здоровье
К
Кулинария-и-гостеприимство
Ф
Финансы-и-бизнес
П
Питомцы-и-животные
О
Образование
О
Образование-и-коммуникации
A778YE21rus
A778YE21rus
06.04.2020 10:38 •  Алгебра

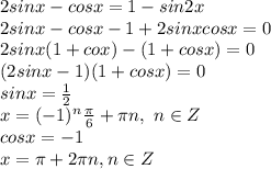
Найдите корни уравнения, принадлежащие [-π; 5π/6) 2sinx-cosx=1-sin2x.

👇
Ответ:
Nastena102002
Nastena102002
06.04.2020
2sinx - cosx = 1 - sin2x \\ 2sinx - cosx - 1 + 2sinxcosx = 0 \\ 2sinx(1 + cox) - (1 + cosx) = 0 \\ (2sinx - 1)(1 + cosx) = 0 \\ sinx = \frac{1}{2} \\ x = (-1)^n \frac{ \pi }{6} + \pi n, \ n \in Z \\ cosx = -1 \\ x = \pi + 2 \pi n, n \in Z
Теперь отберём корни с двойных неравенств:
- \pi \leq (-1)^n \frac{ \pi }{6} + \pi n \ \textless \ \frac{5 \pi }{6} \\ -6 \pi \leq (-1)^n \pi + 6 \pi n \ \textless \ 5 \pi \\ -6 \leq (-1)^n + 6n \ \textless \ 5
n = 0 с учётом того, что n ∈ Z. Тогда x = \frac{ \pi }{6}.
- \pi \leq \pi + 2 \pi n \ \textless \ \frac{5 \pi }{6} \\ \\ -2 \pi \leq 2 \pi n \ \textless \ -\frac{ \pi }{6} \\ -1 \leq n \ \textless \ - \frac{1}{12}
n = -1с учётом того, что n ∈ Z. Тогда x = \pi - 2 \pi = - \pi .
ответ: x = - \pi ; \frac{ \pi }{6}
4,8(77 оценок)
Открыть все ответы
Ответ:
DeNcHiK123st
DeNcHiK123st
06.04.2020
Для нахождения точек пересечения с осью Х
 x^4-4x^2=0
х1=0; х2=2;  х3=-2;
Для нахождения экстреммумов функции нужно взять производную и прировнять ее 0
f(x)=x^4-4x^2 => f'(x)=4*x^3-8x=0
Корни: х1=0; х2=2^0.5; х3=-2^0.5; (корень квадратный из 2)
теперь нужно узнать, что это за точки минимумы или максимумы, возмем значение слева и справа от точки и подставим в уранение если знак меняется с + на - значит максимум если наоборот минимум
     -2^0.5    0        2^0.5
---*---о*о*---о*--
  -2       -1          1        2

x=0 => y= 0
x=-2^0.5 => y= -4
x=2^0.5  => y= -4

x=-2 => y= 0
x=-1 => y=-3  
x=1 => y=-3
x=2 => y= 0

Значение функции меняется от -2 до -2^0.5 функция убывает от 0 до -4 , а от -2^0.5 до -1 ворастает от -4 до -3 следовательно  f(-2^0.5) минимум.
Значение функции меняется от -1 до 0 функция возрастает от -3 до 0 , а 0 до 1  убывает от 0 до -3 следовательно  f(0) максимум.
Значение функции меняется от 1 до 2^0.5 функция убывает от -3 до -4 , а от 2^0.5 до 2 ворастает от -4 до 0 следовательно  f(2^0.5) минимум.

Исследование завершено
Точки пересечения с осью Х
х1=0; х2=2;  х3=-2;
Минимум
(-2^0.5;-4) и (2^0.5;-4)
Максимум
(0;0)
4,8(46 оценок)
Ответ:
dniil2003
dniil2003
06.04.2020

Минимальное n=51

Объяснение:

n^3+7^(2050)=n^3+  49^(1025)=n^3+(50-1)^1025

(50-1)^(1025)   -разложение бинома ньютона  ,в котором  все члены содержащие  50^2 кратны  100.    Последний член равен: (-1)^1025=-1

А  предпоследний равен  50*k .  Тк  степень  1025  нечетна,то  согласно разложению бинома предпоследний коэффициент n  нечетен. (все остальные члены содержат степень 50^2  cоответствено кратны  100)

Тогда  50*n ,кончается на  50,то есть  остаток от деления на  100  этого числа равен  50.

А  общий остаток от деления  числа

(50-1)^1025  на  100  равен:  50-1=49

Соответственно:

n^3+49  должно быть  кратно  100

Нужно отыскать минимальное  n^3  которое кончается на  51

n^3=100*k +51  k-натуральное  число

n^3=50*(2k+1)+1

Так же очевидно,  что  51^3=(50+1)^3  кончается  на   51  тк  3 нечетное число,это  следует из тех же рассуждений что и в  (50-1)^1025  ,только тут  1^3=1 ,следовательно кончается на  51 (дает остаток  51  при  делении  на 100).   Очевидно, что  n=51  самый вероятный  кандидат на  минимальное n.

Осталось доказать  , что натуральное   число  n<51 (возведенное в куб не  может оканчиваться на  51)

Предположим что такое число существует, тогда

очевидно  что : n=(10*r+1)    r<5 ,тк  число  должно кончатся на цифру  1.

Тк  только  цифра 1^3  кончается на 1.

(10*r+1)^3=50*(2k+1) +1

(10*r+1)^3 -1^3=50*(2k+1)   (применим формулу разности кубов)                          n^3-1^3=(n-1)*(n^2+n+1)

(10*r)*( (10*r+1)^2 +10*r+2)=50*(2k+1)

r*(100*r^2 +30r +3)=5*(2k+1)  ,то  есть левое число должно делится на 5.

Очевидно  ,что 100*r^2+30*r+3  не делится на 5  тк  все члены кроме трех  кратны пяти.  Откуда .поскольку число 5 простое,то  r  должно быть кратно  5,  но  r<5 ,то  есть  r не  может  быть кратно  5.

Мы  пришли к  противоречию,то есть такое невозможно.

Вывод:  n=51

4,6(68 оценок)
Это интересно:
Новые ответы от MOGZ: Алгебра
logo
Вход Регистрация
Что ты хочешь узнать?
Спроси Mozg
Открыть лучший ответ