М
Молодежь
К
Компьютеры-и-электроника
Д
Дом-и-сад
С
Стиль-и-уход-за-собой
П
Праздники-и-традиции
Т
Транспорт
П
Путешествия
С
Семейная-жизнь
Ф
Философия-и-религия
Б
Без категории
М
Мир-работы
Х
Хобби-и-рукоделие
И
Искусство-и-развлечения
В
Взаимоотношения
З
Здоровье
К
Кулинария-и-гостеприимство
Ф
Финансы-и-бизнес
П
Питомцы-и-животные
О
Образование
О
Образование-и-коммуникации
Djəñįfəŕ
Djəñįfəŕ
25.09.2021 14:20 •  Алгебра

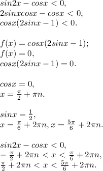
Решите неравенство sin2x-cosx< 0

👇
Ответ:
VovanBah
VovanBah
25.09.2021
sin2x - cosx \ \textless \ 0, \\ 2sinxcosx - cosx \ \textless \ 0, \\ cosx(2sinx-1)\ \textless \ 0.\\ \\ f(x)=cosx(2sinx-1);\\f(x) = 0, \\ cosx(2sinx-1) = 0. \\ \\ cosx = 0, \\ x = \frac{ \pi }{2} + \pi n. \\ \\sinx = \frac{1}{2}, \\ x = \frac{ \pi }{6} + 2 \pi n, x= \frac{5 \pi }{6} + 2 \pi n. \\ \\ sin2x - cosx \ \textless \ 0, \\ -\frac{ \pi }{2} + 2 \pi n \ \textless \ x \ \textless \ \frac{ \pi }{6} + 2 \pi n, \\ \frac{ \pi }{2} + 2 \pi n\ \textless \ x \ \textless \ \frac{5 \pi }{6} + 2 \pi n .&#10;&#10;

Примечание: n ∈ Z.
4,4(4 оценок)
Открыть все ответы
Ответ:
limi10
limi10
25.09.2021
- 4х = 28                   0,7х = - 4,2              - 1,4х = - 5,6
х = 28 : (- 4)              х = - 4,2 : 0,7             х = - 5,6 : (- 1,4)
х = - 7                       х = - 6                       х = 4

1/3х = - 2/9               4/7х = 1                    3х = 7
х = - 2/9 : 1/3            х = 1 : 4/7                 х = 7 : 3    
х = - 2/9 * 3/1            х = 1 * 7/4                 х = 7/3 
х = - 6/9                    х = 7/4                      х = 2 1/3
х = - 2/3                    х = 1 3/4
4,7(60 оценок)
Ответ:
alerokl2313
alerokl2313
25.09.2021
Из красных коробок вынули 22 мячика, а в синие положили 14 мячиков. Сколько мячиков в красных и синих коробках, если красных в 5 раз больше мячиков, чем в одной коробке, синих в 2 раза больше, а кол-во мячиков в синих и красных коробках равно?
Схема:
                                     Кол-во коробок                                      Кол-во мячей
Красные                                5х шт.                                             (5х-22) шт.
Синие                                    2х шт.                                             (2х+14) шт.
В одной коробке                     1 шт.                                                    х шт.
(Справа от столбика "кол-во мячей" начертить полу дугу с двумя стрелками на конце и рядом написать "="- это мы показали что кол-во одинаково.)
Пусть х шт.- кол-во мячиков в одной коробке, тогда (5х-22) шт.- кол-во мячей в красных коробках, (2х+14) шт.- кол-во мячей в синих коробках. 5х шт.- кол-во красных коробок, 2х шт.- кол-во синих коробок.
Составим уравнение:
5х-22=2х+14
3х= 36
х=12

12 шт.- мячиков в одной коробке
12*5= 60 красных коробок
12*2= 24 синих коробок
60-22= 38 мячиков в красных коробках
24+14= 38 мячиков в синих коробках
ответ: 38 мячиков.
Надеюсь, правильно)
4,7(87 оценок)
Это интересно:
Новые ответы от MOGZ: Алгебра
logo
Вход Регистрация
Что ты хочешь узнать?
Спроси Mozg
Открыть лучший ответ