М
Молодежь
К
Компьютеры-и-электроника
Д
Дом-и-сад
С
Стиль-и-уход-за-собой
П
Праздники-и-традиции
Т
Транспорт
П
Путешествия
С
Семейная-жизнь
Ф
Философия-и-религия
Б
Без категории
М
Мир-работы
Х
Хобби-и-рукоделие
И
Искусство-и-развлечения
В
Взаимоотношения
З
Здоровье
К
Кулинария-и-гостеприимство
Ф
Финансы-и-бизнес
П
Питомцы-и-животные
О
Образование
О
Образование-и-коммуникации
Lia20020313
Lia20020313
10.11.2022 05:02 •  Алгебра

Реши уравнение √6x−5=√2x+3 (ответ округли до сотых) ответ: x=

👇
Ответ:
AntonBobko
AntonBobko
10.11.2022
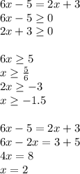
 6x-5=2x+3\\6x-5 \geq 0\\2x+3 \geq 0 \\ \\ 6x \geq 5\\x \geq \frac{5}{6} \\ 2x \geq -3\\x \geq -1.5\\ \\ 6x-5=2x+3\\6x-2x=3+5\\4x=8\\x=2√6x−5=√2x+3 
4,5(32 оценок)
Открыть все ответы
Ответ:
kat19810
kat19810
10.11.2022

ответ: 1) -1; 2) 1.

Объяснение:

1) При x⇒0 выражение в скобках представляет собой неопределённость вида ∞-∞. Приводя обе дроби к общему знаменателю, получаем в скобках выражение -sin²(x)/[x*(x+sin²(x))]=-sin(x)/x*sin(x)/[x+sin²(x)]. Предел первого множителя есть ни что иное, как взятый со знаком "минус" первый замечательный предел, поэтому предел этого множителя равен -1. Ко второму множителю sin(x)/[x+sin²(x)] применим правило Лопиталя. Находя производные числителя и знаменателя, получаем выражение cos(x)/[1+2*sin(x)*cos(x)]=cos(x)/[1+sin(2*x)]. Предел этого выражения при x⇒0 равен 1, поэтому искомый предел равен -1*1=-1.  

2) Выражение, предел которого нужно найти, при x⇒+0 представляет собой неопределённость вида ∞⁰. Так как при x⇒0 бесконечно малые величины sin(x) и x эквивалентны, то при вычислении предела можно заменить одну на другую. В данном случае заменим sin(x) на x, и тогда выражение, предел которого нужно найти, примет вид y=(1/x)ˣ. Взяв натуральный логарифм от этого выражения, получим выражение z=x*ln(1/x)=ln(1/x)/[1/x]. Полагая теперь 1/x=t, получим выражение z=ln(t)/t. Так как при x⇒0+ t⇒∞, то это выражение представляет собой неопределённость вида ∞/∞, для раскрытия которой применим правило Лопиталя. Производная числителя [ln(t)]'=1/t, производная знаменателя t'=1, поэтому предел выражения lim[ln(t)/t]=lim(z) при t⇒∞ равен 0/1=0. А так как z=ln(y), то lim(z)=ln[lim(y)], откуда lim(y)=e^lim(z)=e^0=1.    

4,8(48 оценок)
Ответ:
lren1
lren1
10.11.2022

ответ: 1) -1; 2) 1.

Объяснение:

1) При x⇒0 выражение в скобках представляет собой неопределённость вида ∞-∞. Приводя обе дроби к общему знаменателю, получаем в скобках выражение -sin²(x)/[x*(x+sin²(x))]=-sin(x)/x*sin(x)/[x+sin²(x)]. Предел первого множителя есть ни что иное, как взятый со знаком "минус" первый замечательный предел, поэтому предел этого множителя равен -1. Ко второму множителю sin(x)/[x+sin²(x)] применим правило Лопиталя. Находя производные числителя и знаменателя, получаем выражение cos(x)/[1+2*sin(x)*cos(x)]=cos(x)/[1+sin(2*x)]. Предел этого выражения при x⇒0 равен 1, поэтому искомый предел равен -1*1=-1.  

2) Выражение, предел которого нужно найти, при x⇒+0 представляет собой неопределённость вида ∞⁰. Так как при x⇒0 бесконечно малые величины sin(x) и x эквивалентны, то при вычислении предела можно заменить одну на другую. В данном случае заменим sin(x) на x, и тогда выражение, предел которого нужно найти, примет вид y=(1/x)ˣ. Взяв натуральный логарифм от этого выражения, получим выражение z=x*ln(1/x)=ln(1/x)/[1/x]. Полагая теперь 1/x=t, получим выражение z=ln(t)/t. Так как при x⇒0+ t⇒∞, то это выражение представляет собой неопределённость вида ∞/∞, для раскрытия которой применим правило Лопиталя. Производная числителя [ln(t)]'=1/t, производная знаменателя t'=1, поэтому предел выражения lim[ln(t)/t]=lim(z) при t⇒∞ равен 0/1=0. А так как z=ln(y), то lim(z)=ln[lim(y)], откуда lim(y)=e^lim(z)=e^0=1.    

4,5(86 оценок)
Это интересно:
Новые ответы от MOGZ: Алгебра
logo
Вход Регистрация
Что ты хочешь узнать?
Спроси Mozg
Открыть лучший ответ