М
Молодежь
К
Компьютеры-и-электроника
Д
Дом-и-сад
С
Стиль-и-уход-за-собой
П
Праздники-и-традиции
Т
Транспорт
П
Путешествия
С
Семейная-жизнь
Ф
Философия-и-религия
Б
Без категории
М
Мир-работы
Х
Хобби-и-рукоделие
И
Искусство-и-развлечения
В
Взаимоотношения
З
Здоровье
К
Кулинария-и-гостеприимство
Ф
Финансы-и-бизнес
П
Питомцы-и-животные
О
Образование
О
Образование-и-коммуникации
katushashamrova
katushashamrova
27.06.2022 22:11 •  Алгебра

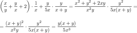
Выражение (x/y+y/x+2)/x+y/5x*y/x+y !

👇
Ответ:
NasteaPysla
NasteaPysla
27.06.2022
\displaystyle \bigg( \frac{x}{y} + \frac{y}{x} +2\bigg)\cdot \frac{1}{x} + \frac{y}{5x}\cdot \frac{y}{x+y} = \frac{x^2+y^2+2xy}{x^2y} \cdot \frac{y^2}{5x(x+y)} =\\ \\ \\ = \frac{(x+y)^2}{x^2y} \cdot \frac{y^2}{5x(x+y)} = \frac{y(x+y)}{5x^3}
4,5(38 оценок)
Открыть все ответы
Ответ:
linka737
linka737
27.06.2022

 

преобразуем каждую цифру шестизначного числа в букву,

пусть шестизначное число - abcxyz

1 цифра - а, 2 цифра - b, 3 цифра - с и т.д.,

 

преобразовывая получим:

сумма первой и шестой цифр равна 10 - a+z=10

сумма второй и пятой также равна 10 - b+y=10

сумма третьей и четвёртой цифр также равна 10 - с+х=10

 

если первая цифра в 2 раза больше третьей и в 2 раза меньше четвёртой - а=2с и а=x/2

предпоследняя цифра в 2 раза меньше последней - y=z/2

 

a=2c и a=x/2

значит 2c=x/2,

получается 4c=x

x=4c

подставим под c+x=10, получится c+4c=10, 5c=10, c=2

 

с+х=10, а c=2, подставим и получим x=8

а=x/2, x=8, подставим и получим а=4

a+z=10, а=4 подставим и получим z=6

y=z/2, z=6 подставим и получим у=3

b+y=10, у=3 подставим и получим b=7

 

а=4, b=7, с=2, x=8, y=3, z=6

Подставив под abcxyz получим 472836

 

ответ: 472836.

4,4(45 оценок)
Ответ:
gordeevlogain2
gordeevlogain2
27.06.2022

∉  и  И

Объяснение:

Во первых множество всех натуральных чисел обычно обозначают буквой N.

2. Если к натуральным числам присоединить число 0 и все целые отрицательные числа: −1,−2,−3,−4... — то получится множество целых чисел. Это множество обычно обозначают буквой Z.

3. Если к множеству целых чисел присоединить все обыкновенные дроби, то получится множество рациональных чисел. Это множество обычно обозначают буквой Q.

4. ∈ — знак принадлежности (элемент принадлежит множеству).

5. ∉ — элемент не принадлежит множеству.

4,4(40 оценок)
Это интересно:
Новые ответы от MOGZ: Алгебра
logo
Вход Регистрация
Что ты хочешь узнать?
Спроси Mozg
Открыть лучший ответ