М
Молодежь
К
Компьютеры-и-электроника
Д
Дом-и-сад
С
Стиль-и-уход-за-собой
П
Праздники-и-традиции
Т
Транспорт
П
Путешествия
С
Семейная-жизнь
Ф
Философия-и-религия
Б
Без категории
М
Мир-работы
Х
Хобби-и-рукоделие
И
Искусство-и-развлечения
В
Взаимоотношения
З
Здоровье
К
Кулинария-и-гостеприимство
Ф
Финансы-и-бизнес
П
Питомцы-и-животные
О
Образование
О
Образование-и-коммуникации
Sharjnik
Sharjnik
03.06.2022 10:11 •  Алгебра

Решите систему уравнений подстановки если что это 2 разных систем уравнений просто пробел странно ставиться

👇
Ответ:
20AKE04
20AKE04
03.06.2022
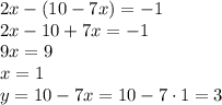
\displaystyle \left \{ {{7x+y=10} \atop {4x-2y=-2}} \right.
Из первого уравнения выразим переменную y
\displaystyle \left \{ {{y=10-7x} \atop {4x-2y=-2|:2}} \right. \Rightarrow \left \{ {{y=10-7x} \atop {2x-y=-1}} \right.
Подставим во (2) уравнение.
2x-(10-7x)=-1\\ 2x-10+7x=-1\\ 9x=9\\ x=1\\ y=10-7x=10-7\cdot1=3

ответ: (1;3).

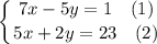
\displaystyle \left \{ {{7x-5y=1\,\,\,\,\,\, (1)} \atop {5x+2y=23\,\,\,\,\,\,(2)}} \right.
Из уравнения (1) выразим переменную x:
\displaystyle \left \{ {{x= \frac{5y+1}{7} } \atop {5x+2y=23}} \right.
Подставим во (2) уравнение:
\displaystyle 5\cdot \frac{5y+1}{7}+2y=23\big|\cdot 7\\ \\ 5\cdot (5y+1)+2y\cdot7=23\cdot7\\ 25y+5+14y=161\\ 39y=156\\ y=156:39\\ y=4\\ x=\frac{5y+1}{7}=\frac{5\cdot 4+1}{7}=\frac{21}{7}=3

ответ: (3;4).
4,4(67 оценок)
Открыть все ответы
Ответ:
aminochka1516
aminochka1516
03.06.2022

1)

30% числа k = 0,3a

35% числа p = 0,35p

0,3k > 0,35p на 20

Первое уравнение:

0,3k - 0,35p = 20

2)

20% числа k = 0,2а

30% числа p = 0,3р

0,3р > 0,2k на 8

Второе уравнение:

0,2k + 8 = 0,3p

3)

Решаем систему.

{0,3k-0,35р = 20

{0,2k - 0,3р = - 8

Первое умножим на 2, а второе умножим на (-3)

{0,6k-0,7р = 40

{-0,6k+0,9р = 24

Сложим

0,6k-0,7р -0,6k+0,9р = 40+24

     0,2р = 64

          р = 64 : 0,2

          р = 320

В первое уравнение 0,3k - 0,35p = 20 подставим р = 320.

0,3k - 0,35·320 = 20

0,3k - 112 = 20

0,3k = 112 + 20

0,3k = 132

    k = 132 : 0,3

    k = 440

ответ: k = 440;

          р = 320.

4,8(51 оценок)
Ответ:
vadolkaa
vadolkaa
03.06.2022
1)
30% числа a  = 0,3a
35% числа p = 0,35p

0,3а > 0,35p на 20
Первое уравнение:
0,3а - 0,35p = 20

2)
20% числа а = 0,2а
30% числа p = 0,3р

0,3р > 0,2a на 8
Второе уравнение:
0,2a + 8 = 0,3p

3)
Решаем систему.
{0,3а-0,35р = 20
{0,2а - 0,3р = - 8
Первое умножим на 2, а второе умножим на (-3)

{0,6а-0,7р = 40
{-0,6а+0,9р = 24
Сложим

0,6а-0,7р -0,6а+0,9р = 40+24
      0,2р = 64
           р = 64 : 0,2
           р = 320

В первое уравнение 0,3а - 0,35p = 20 подставим р = 320.

0,3а - 0,35·320 = 20
0,3а - 112 = 20
0,3а = 112 + 20
0,3а = 132
     а = 132 : 0,3
     а = 440

ответ: а = 440;
           р = 320.
4,5(23 оценок)
Это интересно:
Новые ответы от MOGZ: Алгебра
logo
Вход Регистрация
Что ты хочешь узнать?
Спроси Mozg
Открыть лучший ответ