М
Молодежь
К
Компьютеры-и-электроника
Д
Дом-и-сад
С
Стиль-и-уход-за-собой
П
Праздники-и-традиции
Т
Транспорт
П
Путешествия
С
Семейная-жизнь
Ф
Философия-и-религия
Б
Без категории
М
Мир-работы
Х
Хобби-и-рукоделие
И
Искусство-и-развлечения
В
Взаимоотношения
З
Здоровье
К
Кулинария-и-гостеприимство
Ф
Финансы-и-бизнес
П
Питомцы-и-животные
О
Образование
О
Образование-и-коммуникации
matv
matv
21.07.2020 23:04 •  Алгебра

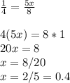
Решить пропорцию оч нужно 1: 4=5x: 8

👇
Ответ:
Yarik176
Yarik176
21.07.2020
\frac{1}{4} = \frac{5x}{8} \\ \\ 4(5x)=8*1 \\ 20x=8 \\ x=8/20 \\ x=2/5=0.4
4,4(89 оценок)
Открыть все ответы
Ответ:
arina1238
arina1238
21.07.2020
||2^x+x-2|-1| > 2^x-x-1
Раскрывать модули будем постепенно, снаружи, как будто снимая листья с кочана капусты)))
Помним о важном правиле:
|x| =x, если x>=0
|x|=-x, если x<0

Снимаем первый модуль и действуем согласно вышеупомянутому правилу:
{|2^x+x-2|-1 >2^x-x-1
{|2^x+x-2|-1> -2^x+x+1
Переносим "-1" из левой части в правую:
{|2^x+x-2| > 2^x-x
{|2^x+x-2| > -2^x+x+2

2) Снимаем второй модуль и также действуем согласно модульному правилу:
{2^x+x-2>2^x-x                        {2x-2>0
{2^x+x-2>x-2^x                        {2*2^x-2>0
{2^x+x-2>-2^x+x+2                  {2*2^x-4>0
{2^x+x-2>2^x-x-2                      {2x>0

{x>1                   {x>1                         
{2^x>1                {x>0
{2^x>2                {x>1
{x>0                    {x>0

Решением неравенства является промежуток (1; + беск.)                   

 
4,8(65 оценок)
Ответ:
AleksandraZul
AleksandraZul
21.07.2020
1) sin a = √2/2; a1 = pi/4+2pi*k; cos a1 = √2/2
a2 = 3pi/4+2pi*k; cos a2 = -√2/2
cos(60 + a1) = cos 60*cos a1 - sin 60*sin a1 =
= 1/2*√2/2 - √3/2*√2/2 = √2/4*(1 - √3) = -√2(√3 - 1)/4
cos(60 + a2) = cos 60*cos a2 - sin 60*sin a2 =
= -1/2*√2/2 - √3/2*√2/2 = -√2/4*(1 + √3) = -√2(√3 + 1)/4

2) sin a = 2/3; cos b = -3/4; a ∈ (pi/2; pi); b ∈ (pi; 3pi/2)
cos a < 0; sin^2 a = 4/9; cos^2 a = 1-4/9 = 5/9; cos a = -√5/3
sin b < 0; cos^2 b = 9/16; sin^2 b = 1-9/16 = 7/16; sin b = -√7/4
sin(a+b) = sin a*cos b + cos a*sin b =
= 2/3*(-3/4) + (-√5/3)(-√7/4) = -6/12 + √35/12 = (√35 - 6)/12
cos(-b) = cos b = -3/4
4,5(11 оценок)
Новые ответы от MOGZ: Алгебра
logo
Вход Регистрация
Что ты хочешь узнать?
Спроси Mozg
Открыть лучший ответ