М
Молодежь
К
Компьютеры-и-электроника
Д
Дом-и-сад
С
Стиль-и-уход-за-собой
П
Праздники-и-традиции
Т
Транспорт
П
Путешествия
С
Семейная-жизнь
Ф
Философия-и-религия
Б
Без категории
М
Мир-работы
Х
Хобби-и-рукоделие
И
Искусство-и-развлечения
В
Взаимоотношения
З
Здоровье
К
Кулинария-и-гостеприимство
Ф
Финансы-и-бизнес
П
Питомцы-и-животные
О
Образование
О
Образование-и-коммуникации
dimashevchuk007
dimashevchuk007
19.02.2023 17:03 •  Алгебра

Сколько корней имеет уравнение: |x|=|x−1|+x−3

👇
Ответ:
alexfeels555
alexfeels555
19.02.2023

Задание № 3:

Сколько корней имеет уравнение: |x|=|x−1|+x−3?

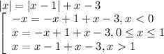
|x|=|x-1|+x-3
\\ \left[\begin{array}{l} -x=-x+1+x-3, x\ \textless \ 0 \\ x=-x+1+x-3,0 \leq x
\leq 1 \\ x=x-1+x-3,x\ \textgreater \ 1 \end{array}
\left[\begin{array}{l} 0=1+x-3, x\
\textless \ 0 \\ x=+1-3,0 \leq x \leq 1 \\ 0=x-1-3,x\ \textgreater \ 1
\end{array} \\ \left[\begin{array}{l} x=2, x\ \textless \ 0 \\ x=-2,0 \leq x
\leq 1 \\ x=4,x\ \textgreater \ 1 \end{array}

Условию раскрытия модуля соответствует только третья строчка.

ОТВЕТ: 1

4,5(48 оценок)
Открыть все ответы
Ответ:
dinonafrie1488
dinonafrie1488
19.02.2023
0,58(3)

Пусть искомая дробь  х.
 х = 0,583333333333                        Умножим х на 100, получим:
100х  =  58,3333333333
Найдем разность     100х   -  х  

 -  58,3333333333
      0,5833333333...
    57,75 

       Итак  100х   -  х  =  57,75   а с другой стороны  100х   -  х = 99х  => 
                 99х  = 57,75
                 х  = 57,75 / 99    (сократим дробь на 3)
                 х = 19,25 / 33     (сократим дробь на 11)
                   х = 1,75 / 3 
                   х = 175 / 300    (сократим дробь на 25)
                   х = 7 / 12

ответ:  7 / 12
4,7(88 оценок)
Ответ:
Beliya1
Beliya1
19.02.2023
1) Если определитель системы, составленный из коэф-тов при неизвестных неравен 0,
система имеет единственное решение.
2) Если определитель системы, составленный из коэф-тов при неизвестных равен 0,
   а хотя бы один из определителей, полученного заменой столбца коэф-тов при неизвестном на столбец свободных членов, отличен от нуля, то система не имеет решения.
3) Если определитель системы, составленный из коэф-тов при неизвестных равен 0,
   и все определители, полученные заменой столбца коэф-тов при неизвестном на столбец свободных членов равны нуля, то система имеет бесконечно много решений.
4,4(15 оценок)
Новые ответы от MOGZ: Алгебра
logo
Вход Регистрация
Что ты хочешь узнать?
Спроси Mozg
Открыть лучший ответ