 
                                                 
                                                 
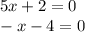
                                                1) Строить график не буду, объяню как решать.
y = -x^2+4x - квадратичная функция
График - парабола, ветви вниз, т.к. перед x^2 отрицательный коэффициент.
Вершина параболы
x(0) = -b/2a = -4/2*(-1) = -4/-2 = 2
y(0) = 4
Таблица значений
x|0|1|2|3|4
y|0|3|4|3|0
Строишь по клеткам параболу.
а)
Значение функции = значение на оси Оу
На оси х находишь точки 0 и 3 проводишь пунктирную линию к графику.
Получается
у наиб = 3
y наим = 0
б) y возрастает на примежутке ( минус бесконечность; 2]
убывает на промежутке [2; +бесконечность);
в)4x^2 - x^2 < 0
4x^2 - x^2 = 0
3x^2 = 0
x^2 = 0
x = 0
x (0; + бесконечность)
 
                                                Забежал я в магазин спецодежды сапоги и перчатки купить для работы в саду. Оплатил покупку, жду, пока упакуют. 
Занятому человеку кажется, что всё вокруг него делается медленно. Собрался было поторопить упаковщицу, но взгляд мой остановился на её руках. Странно двигались руки её, как будто они закреплены в одном положении – ладонями вниз, и она никак не может их повернуть. Я не вдруг сообразил, что в самом деле не может. Мешают длинные красивые акриловые ногти, а главное – золото! На восьми пальцах из десяти были надеты перстни. С камушками и без камушков. Круглые и овальные. Лёгкие и массивные. Зачем столько? И как с этим добром работать? Стою и думаю:  сказать что-нибудь ядовитое или не надо? 
Промолчал. Но запал мне этот случай в голову, стал присматриваться к женским рукам. Пришёл в итальянскую химчистку, гляжу – у молоденькой приёмщицы на пальчиках три перстенька. У кассирши супермаркета – дивный блеск на руках.
 
                                                 
                                                 
                                                 
                                                 
                                                 
                                                
ответ: