М
Молодежь
К
Компьютеры-и-электроника
Д
Дом-и-сад
С
Стиль-и-уход-за-собой
П
Праздники-и-традиции
Т
Транспорт
П
Путешествия
С
Семейная-жизнь
Ф
Философия-и-религия
Б
Без категории
М
Мир-работы
Х
Хобби-и-рукоделие
И
Искусство-и-развлечения
В
Взаимоотношения
З
Здоровье
К
Кулинария-и-гостеприимство
Ф
Финансы-и-бизнес
П
Питомцы-и-животные
О
Образование
О
Образование-и-коммуникации
natashalixarev
natashalixarev
01.04.2020 11:21 •  Алгебра

14 .решите систему уравнений методом подстановки х+y=2, 2x-y=3

👇
Ответ:
Y=2-x
2x-(2-x)=3
2x-2+x=3
3x=5
x=5/3
y=2-5/3=6/3-5/3=1/3
4,4(41 оценок)
Ответ:
СоняКот2000
СоняКот2000
01.04.2020
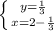
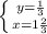
\left \{ {{x = 2 - y} \atop {2(2-y)-y=3}} \right.

\left \{ {{x=2-y} \atop {4-2y-y=3}} \right.

\left \{ {{x=2-y} \atop {-3y=-1}} \right.

\left \{ {{y= \frac{1}{3} } \atop {x=2- \frac{1}{3} }} \right.

\left \{ {{y= \frac{1}{3} } \atop {x=1 \frac{2}{3} }} \right.
ответ: (1 \frac{2}{3} ; \frac{1}{3} )
4,6(56 оценок)
Открыть все ответы
Ответ:
120505567890
120505567890
01.04.2020
1) ОДЗ :(- ∞∞)
2) нечетная функция
3) x=0⇒y=0;
y=0 ⇒ x^5 -5x=0 ;x(x²  - √5)(x² +√5)=0;  x²+√5 ≠0 
x₁=0, x₂=-(5)^(1/4) ; x₃= 5 ^(1/4).
4) y ' =(x^5 -5x)' =(x^5)' -(5x)' =5x^4 -5 =5(x²+1)(x +1)(x-1) ;

f '(x)  +   (-1)   -  (+1)   +   ;
                   ↑             max          ↓               min               ↑
max(fx) =f(-1) =(-1)^5 - 5*(-1)= 4 ;
minf(x)=f(1) =1^5 -5*1= - 4 . (  можно было из четности ).
5) y'' =(y')' =(5x^4 -5)' = 20*x³  ; y '' =0 ⇒x=0 (абсцисса точки перегиба) : слева от этой точки где y'' <0 _ выпуклый , а справо где y''>0 , вогнутый .
В результате  схематически можно построить график функции
4,6(71 оценок)
Ответ:
margaritakulak
margaritakulak
01.04.2020
Украинский знаю, но на ноутбуке только русский и англ., вибачте мене)
Сложим систему уравнений: Пускай х т. - планировалось на 1 грузовик, тогда у - количество грузовиков
60/x=y
60/(x+1)=y-2
Теперь решим систему: со второго уравнения y=60/(x+1)+2
Приравняем значения y
60/x=60/(x+1)+2, домножим каждую часть на x(x+1), получим
60(x+1)=60x+2x(x+1)
60x+60=60x+2x²+2x
2x²+2x-60=0, это обычное квадратное уравнение, решим его:
х1=-6, не подходит по условию
х2=5, 5 тонн планировалось на 1 грузовик
Количество грузовиков =y=60/x=60/5=12 грузовиков планировалось
А использовано было на 2 меньше тоесть 10
ответ:10 грузовиков было использовано
4,5(75 оценок)
Это интересно:
Новые ответы от MOGZ: Алгебра
logo
Вход Регистрация
Что ты хочешь узнать?
Спроси Mozg
Открыть лучший ответ