 
                                                 
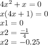
                                                ответ: 15 девочек.
Объяснение:
Т.к. в условии сказано, что никакие две девочки не подарили валентинки одинаковому количеству мальчиков, то все девочки подарили разное количество валентинок. Причём одна и та же девочка не может подарить валентинку одному и тому же мальчику более одного раза, тогда:
Первая девочка подарила 1 валентинку, вторая девочка подарила 2 валентинки, третья 3 валентинки...
1 + 2 + 3 + 4 + 5 + 6 + 7 + 8 + 9 + 10 + 11 + 12 + 13 + 14 + 15 = 120 - валентинок было подарено, соответственно, мальчиков, которые получили валентинки было 120, а девочек, которые их дарили 15
Если бы мы взяли
1 + 2 + 3 + 4 + 5 + 6 + 7 + 8 + 9 + 10 + 11 + 12 + 13 + 14 + 15 + 16 = 136 - это уже получилось бы, что 136 мальчиков получили валентинки и 16 девочек их дарили, а всего детей в школе 139
136 + 16 > 139 неверно
 
                                                 
                                                 
                                                 
                                                 
                                                 
                                                 
                                                 
                                                
ответ: -0,25