М
Молодежь
К
Компьютеры-и-электроника
Д
Дом-и-сад
С
Стиль-и-уход-за-собой
П
Праздники-и-традиции
Т
Транспорт
П
Путешествия
С
Семейная-жизнь
Ф
Философия-и-религия
Б
Без категории
М
Мир-работы
Х
Хобби-и-рукоделие
И
Искусство-и-развлечения
В
Взаимоотношения
З
Здоровье
К
Кулинария-и-гостеприимство
Ф
Финансы-и-бизнес
П
Питомцы-и-животные
О
Образование
О
Образование-и-коммуникации
мирок3
мирок3
09.08.2020 07:21 •  Алгебра

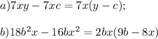
Вынести за скобки множитель а)7xy-7xc б)18b в степени 2 x-16bx в степени 2

👇
Ответ:
пипл4
пипл4
09.08.2020
1)7xy-7xc=7x(y-c) \\ \\ 2)18b^2x-16bx^2=2bx(9b-8x)
4,7(81 оценок)
Ответ:
aisa2017
aisa2017
09.08.2020
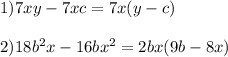
a) 7xy-7xc=7x(y-c); \\ \\ b) 18b^2x-16bx^2=2bx(9b-8x)
4,7(1 оценок)
Открыть все ответы
Ответ:
3JlaK
3JlaK
09.08.2020

1) Пусть х - скорость катера, а (х+6) - скорость мотоцикла. 

36/х  -  36/(х+6) = 1/2.

72х + 432 - 72х = x^2 + 6x

x^2 + 6x - 432 = 0

x = 18   

x+6 = 24

ответ: 18 км/ч;  24 км/ч.

 

2)V1, км/час - скорость велосипедиста

V2, км/час - скорость мотоциклиста

t, час - время в пути мотоциклиста

40 мин=40/60 час

тогда

V2=V1+30

V1*(t+40/60)=15

V2*t=15

(V1+30)*t=15

V1*(t+40/60)=(V1+30)*t

V1*t+V1*40/60=V1*t+30*t

V1*t+V1*40/60-V1*t-30*t=0

V1*40/60-30*t=0

V1*40-1800*t=0

V1*40=1800*t

V1=45*t

45*t*(t+40/60)-15=0

45*t*(60*t+40)-15*60=0

45*t*60*t+45*t*40-15*60=0

2700*t^2+1800*t-900=0

Квадратное уравнение, решаем относительно t: 
Ищем дискриминант:
D=1800^2-4*2700*(-900)=3240000-4*2700*(-900)=3240000-10800*(-900)=3240000-(-10800*900)=3240000-(-9720000)=3240000+9720000=12960000;
Дискриминант больше 0, уравнение имеет 2 корня:
t_1=(12960000^0.5-1800)/(2*2700)=(3600-1800)/(2*2700)=1800/(2*2700)=1800/5400=1/3;
t_2=(-12960000^0.5-1800)/(2*2700)=(-3600-1800)/(2*2700)=-5400/(2*2700)=-5400/5400=-1.

время не может быть величиной отрицательной, значит t=1/3=20/60 часа

тогда

V2*20/60=15--->V2=15/(20/60)=45 км/час

V1*(20/60+40/60)=15

V1*1=15--->V1=15 км/час

Проверим:

V2=V1+30

45=15+30

45=45 

ответ:15, км/час - скорость велосипедиста

45, км/час - скорость мотоциклиста

4,7(82 оценок)
Ответ:
ssdjpiffi
ssdjpiffi
09.08.2020

Объяснение:

1)у=х²-9

 х²-9=0

 х²=9

 х₁,₂=±√9

  х₁,₂=±3

Строим график параболы. Придаём значения х, подставляем в уравнение, вычисляем у, записываем в таблицу.

Таблица:

х    -4      -3      -2      -1       0       1        2       3

у     7       0      -5      -8      -9      -8      -5      0

Смотрим на график и полученные значения х₁ -3 и х₂=3.  

Вывод:    у>=0   при   х∈(-∞, -3]∪[3, ∞)              

(у больше нуля при х от - бесконечности до -3 и от 3

до + бесконечности)

(у=0  при х= -3; при х=3)

2)у=2x²-6

  2x²-6=0

  2x²=6

  x²=3

  x=±√3 (≈1,7)

Строим график параболы. Придаём значения х, подставляем в уравнение, вычисляем у, записываем в таблицу.

Таблица:

х       -3      -2       -1       0       1       2       3

у       12       2       -4      -6      -4     2       12

Смотрим на график и полученные значения  х₁= -√3 и х₂=√3.

Вывод:     у>=0     при     х∈(-∞, -√3]∪[√3, ∞)                  

(у больше нуля от - бесконечности до -1,7 и от 1,7 до

+ бесконечности)

(у=0  при х= -√3; х=√3)

3)у=5-х²

  у= -х²+5

  -х²+5=0

   х²-5 =0

   х²=5

   х=±√5 (≈2,2)

Строим график параболы. Придаём значения х, подставляем в уравнение, вычисляем у, записываем в таблицу.

Таблица:

х      -4     -3     -2      -1       0       1      2      3       4

у      -11     -4      1       4       5       4      1      -4      -11

Смотрим на график и полученные значения х₁= -√5 и х₂=√5.

Ветви параболы направлены вниз.

Вывод:    у>=0    при х∈[-√5, √5]

(у больше нуля от -2,2 до 2,2)

(у=0  при х= -√5;  х=√5)

4)y=6-2x²

  y= -2x²+6

  2x²=6

  x²=3

  x=±√3 (≈1,7)

Строим график параболы. Придаём значения х, подставляем в уравнение, вычисляем у, записываем в таблицу.

Таблица:

х      -3     -2     -1       0       1        2      3

у      -12    -2     4       6       4      -2    -12

Смотрим на график и полученные значения х₁= -√3 и х₂=√3.

Ветви параболы направлены вниз.

Вывод:    у>=0    при х∈[-√3, √3]

(у больше нуля от -1,7 до 1,7)

(у=0  при х= -√3;  х=√3)

4,8(39 оценок)
Это интересно:
Новые ответы от MOGZ: Алгебра
logo
Вход Регистрация
Что ты хочешь узнать?
Спроси Mozg
Открыть лучший ответ