М
Молодежь
К
Компьютеры-и-электроника
Д
Дом-и-сад
С
Стиль-и-уход-за-собой
П
Праздники-и-традиции
Т
Транспорт
П
Путешествия
С
Семейная-жизнь
Ф
Философия-и-религия
Б
Без категории
М
Мир-работы
Х
Хобби-и-рукоделие
И
Искусство-и-развлечения
В
Взаимоотношения
З
Здоровье
К
Кулинария-и-гостеприимство
Ф
Финансы-и-бизнес
П
Питомцы-и-животные
О
Образование
О
Образование-и-коммуникации
Zendydla
Zendydla
15.10.2021 21:14 •  Алгебра

7) найти первый член прогрессии, если сумма первых четырех членов этой прогрессии равна 15, а ее знаменатель равен 0,5.

👇
Ответ:
almaziksky311
almaziksky311
15.10.2021
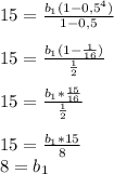
Воспользуемся формулой геометрической прогрессии
Sn= \frac{b_{1} (1-q^n)}{1-q}
подставляем известные нам значение
15= \frac{b_1(1-0,5^4)}{1-0,5} \\ \\ 15= \frac{b_1(1- \frac{1}{16}) }{ \frac{1}{2} } \\ \\ 15= \frac{b_1* \frac{15}{16} }{ \frac{1}{2} } \\ \\ 15= \frac{ b_1*15}{8} \\ 8=b_1
ответ: b_1=8
4,7(67 оценок)
Открыть все ответы
Ответ:
xrxrxrxrxr
xrxrxrxrxr
15.10.2021
Если x2 это квадрат то решаем через дискриминант       /  -  дробная черта x^2-8x+15=0                                                                   ^2 -  квадрат   d=(-8)^2-4*15=64-60=4 x1=8+2/2=5 x2=8-2/2=3 ответ:   x1=8+2/2=5           x2=8-2/2=3
4,8(90 оценок)
Ответ:
миснайс
миснайс
15.10.2021
Итак, фотобумага создана для печати фотографий и графических изображений, а потому сильно отличается от обычной бумаги для принтеров. она представляет собой, если можно так выразиться, многослойный бутерброд, где каждый слой несет свою функцию: один фиксирует краску, другой защищает от внешних воздействий и т. д. чем дороже и качественней бумага, тем больше у нее может быть таких слоев, а следовательно, выше плотность, измеряемая в граммах на квадратный метр (г/м2). плотная фотобумага не даст краскам проступить на другой стороне фотографии, а при обильном использовании чернил не покоробится в принтере. кроме того, снимки на плотной бумаге более долговечны, поскольку более устойчивы к деформации. у бумаги плотностью до 150 г/м2 невысокая цена, но из-за поддерживаемого разрешения до 2880 т/д ее можно использовать в основном для печати документов с несложными графическими изображениями (листовок, презентаций, отчетов). а вот бумага плотностью от 150 до 300 г/м2 предназначена для печати фотографий в высоком разрешении (5760 т/д и выше).  еще одно важное свойство — состав фотобумаги, от которого зависит, насколько быстро краситель высыхает после печати и как долго сохраняет свой вид. в зависимости от состава фотобумага может быть предназначена для струйных, термосублимационных или лазерных принтеров (этот параметр обычно указывается производителем на упаковке), и это следует учитывать при выборе, ведь если фотобумага не совместима с технологией печати, применяемой в принтере, изображение может получиться некачественным и недолговечным. бумагу с усредненными характеристиками часто называют универсальной, но и напечатанные на ней фотографии не отличаются высоким качеством.  в зависимости от характера покрытия выделяют глянцевую (glossy), полуглянцевую (semi-gloss) и матовую (matte) бумагу. глянцевому покрытию фотография на свету становится яркой и блестящей, а цвета выглядят более насыщенными. кроме того, глянцевое покрытие обеспечивает лучшую защиту снимка от влаги, но при этом на нем более заметны отпечатки пальцев. матовая бумага лучше передает мелкие детали изображения, а появляющиеся со временем на ее поверхности повреждения не так заметны. встречается фотобумага как односторонняя, так и двусторонняя (для печати на обеих сторонах), при этом покрытие на них может быть разным, например с одной стороны глянцевым, а с другой — матовым. обычно такая бумага предназначена для печати рекламных материалов (буклетов и листовок). отдельные виды фотобумаги самоклеющимся слоем, их можно использовать для наклеивания на плотные носители (например, на картон или пластик). но существует и особая фотобумага — для печати фотографий и последующего их термопереноса на ткань.
4,6(4 оценок)
Новые ответы от MOGZ: Алгебра
logo
Вход Регистрация
Что ты хочешь узнать?
Спроси Mozg
Открыть лучший ответ